Trang chủ Toán Học Lớp 9 Thời gian làm bàl: 120 phút (không kế thời gian...

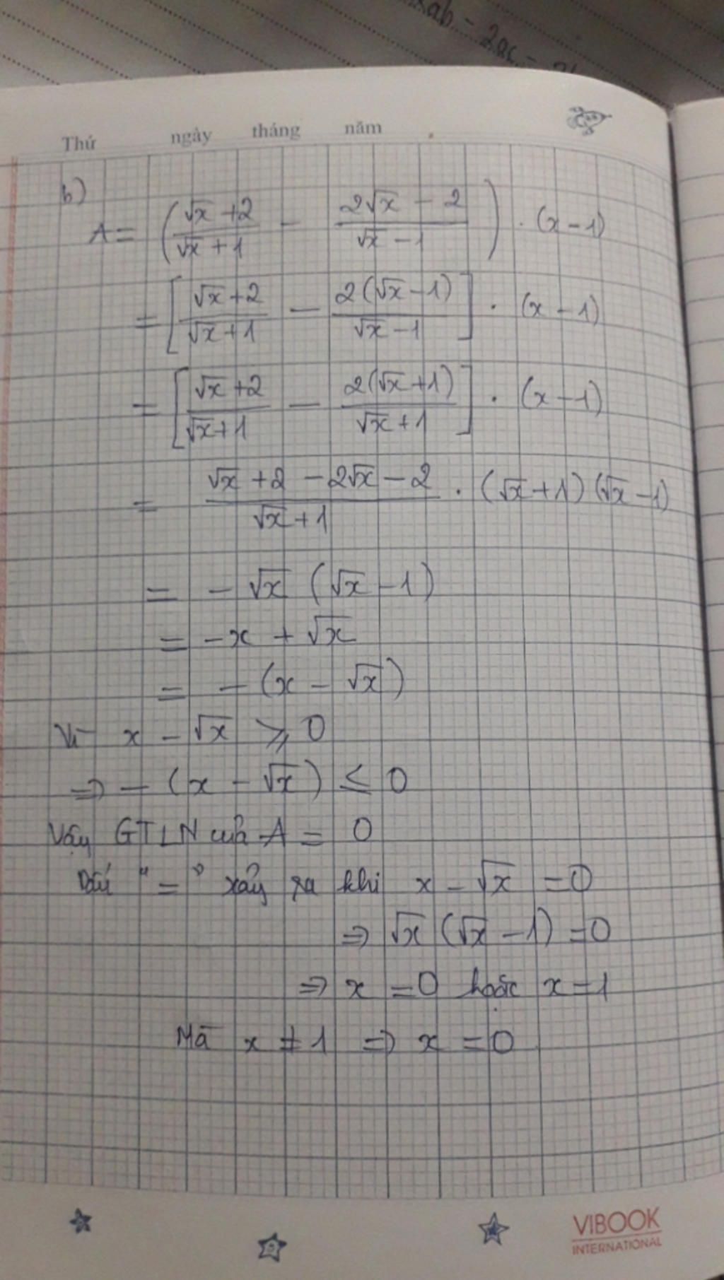
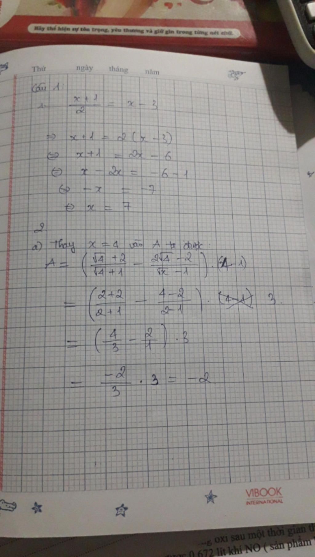
Thời gian làm bàl: 120 phút (không kế thời gian phát đếi Bài 1 (2,0 điểm) 1. Giải phương trình: -3. 2. Cho biểu thức: 4- Vi+2_2V-2) (x-1), với x20,x+1. a)

Câu hỏi :

hôhộ mk với ạ cảm ơn nhiều

image

Lời giải 1 :

Ảnh hơi mờ nhưng đúng nha.

image
image

Thảo luận

-- Bạn rất khiêm tốn ( điểm đáng quý)
-- Do bài này chiều mới học ôn thi tuyển làm do cuối giờ nên chưa làm câu b
-- bạn quân ơi
-- Chúc cả bạn quân nữa nhe
-- bạn quân ơi `->` Gì vậy bạn
-- có thể giải hộ mk bài parabol đc ko
-- chị mình ngủ nên không có điện thoại chụp bạn thông cảm bây giờ mình cũng ngủ đây chúc các bạn buổi tối tốt lành
-- ok bạn

Lời giải 2 :

Chúc bạn học tốt nhớ
image

Bạn có biết?

Toán học là môn khoa học nghiên cứu về các số, cấu trúc, không gian và các phép biến đổi. Nói một cách khác, người ta cho rằng đó là môn học về "hình và số". Theo quan điểm chính thống neonics, nó là môn học nghiên cứu về các cấu trúc trừu tượng định nghĩa từ các tiên đề, bằng cách sử dụng luận lý học (lôgic) và ký hiệu toán học. Các quan điểm khác của nó được miêu tả trong triết học toán. Do khả năng ứng dụng rộng rãi trong nhiều khoa học, toán học được mệnh danh là "ngôn ngữ của vũ trụ".

Nguồn : Wikipedia - Bách khoa toàn thư

Tâm sự 9

Lớp 9 - Là năm cuối ở cấp trung học cơ sở, sắp phải bước vào một kì thi căng thẳng và sắp chia tay bạn bè, thầy cô và cả kì vọng của phụ huynh ngày càng lớn mang tên "Lên cấp 3". Thật là áp lực nhưng các em hãy cứ tự tin vào bản thân là sẻ vượt qua nhé!

Nguồn : ADMIN :))

Liên hệ hợp tác hoặc quảng cáo: gmail

Điều khoản dịch vụ

Copyright © 2021 HOCTAPSGK