Trang chủ Toán Học Lớp 9 cho B-vx1 x+4√x+4 a Timok xot b. rut gon B...

cho B-vx1 x+4√x+4 a Timok xot b. rut gon B C₁ c, tim xote D Z . न Sux PC +2√√5℃ X √√5+2

Câu hỏi :

giúp mk với ạ chỉ câu b,c thoi ạ

image

Lời giải 1 :

Đáp án:

 

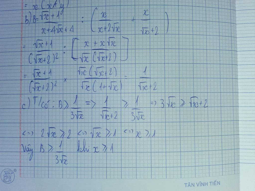
Giải thích các bước giải:

 

image
image

Thảo luận

-- bạn có thấy tử số của dấu ngoặc đơn thứ 2 có j chung.Căn x chung thì rút ra có phải là rút gọn căn x của cả tử và mẫu
-- mk làm vậy để đỡ tốn thêm 1 dòng rút ra lại ko cần thiết và phí vở
-- ok ạ
-- bn ơi hai cái cuối khi bn tìm đk í là bạn gộp vào luôn ạ?
-- đúng r ạ do làm vậy để đặt giới hạn cho x ý
-- nếu x ko lớn hơn 1 và bé hơn 16 thì pt đã sai r
-- sao lại 16 ạ??
-- thì bạn cứ thay 1 số nào đó lớn hơn 16 hoặc bé hơn 1 rồi bạn sẽ hiểu =))

Bạn có biết?

Toán học là môn khoa học nghiên cứu về các số, cấu trúc, không gian và các phép biến đổi. Nói một cách khác, người ta cho rằng đó là môn học về "hình và số". Theo quan điểm chính thống neonics, nó là môn học nghiên cứu về các cấu trúc trừu tượng định nghĩa từ các tiên đề, bằng cách sử dụng luận lý học (lôgic) và ký hiệu toán học. Các quan điểm khác của nó được miêu tả trong triết học toán. Do khả năng ứng dụng rộng rãi trong nhiều khoa học, toán học được mệnh danh là "ngôn ngữ của vũ trụ".

Nguồn : Wikipedia - Bách khoa toàn thư

Tâm sự 9

Lớp 9 - Là năm cuối ở cấp trung học cơ sở, sắp phải bước vào một kì thi căng thẳng và sắp chia tay bạn bè, thầy cô và cả kì vọng của phụ huynh ngày càng lớn mang tên "Lên cấp 3". Thật là áp lực nhưng các em hãy cứ tự tin vào bản thân là sẻ vượt qua nhé!

Nguồn : ADMIN :))

Liên hệ hợp tác hoặc quảng cáo: gmail

Điều khoản dịch vụ

Copyright © 2021 HOCTAPSGK