Trang chủ Toán Học Lớp 9 mik cần gấp cần lời giải chi tiết ạ hứa...

mik cần gấp cần lời giải chi tiết ạ hứa vote 5* mng giúp vs ạNo....... Date 1 cho A ta đi và 200 1-√√xc Voc a. Tund Krat b. nut gon A -1 + 2x√x + x the 1+x²√

Câu hỏi :

mik cần gấp cần lời giải chi tiết ạ hứa vote 5* mng giúp vs ạ

image

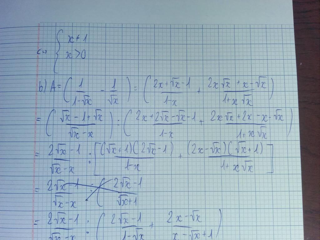
Lời giải 1 :

Đáp án:

 

Giải thích các bước giải:

 Đáp án nóng hổi vừa thổi vừa ăn đây

image
image
image

Thảo luận

-- hỏi đi
-- tui hết h làm r,để tui đi ngủ
-- hoirnhanh tui còn trả lời
-- trang t3 mik k hiểu ý đồ các bước làm của bạn á phiền b giải thích dùm các bước của trg t3 đc khum ạ pls
-- trang thứ 3 ngoặc đơn thứ 2 tui quy đồng mẫu nhưng chỉ để nó thành nhân tử thôi chứ ko là nó sẽ ra số vừa dài vừa khó tính
-- b ơi giải thích cho mik 2 dòng cuối vs ạ
-- nhận thấy 2 căn x - 1 của tử của phân số thứ 1 và mẫu của phân số thứ 2 trùng nhau nên là rút gọn luôn
-- từ đó ra đc dòng cuối cùng

Bạn có biết?

Toán học là môn khoa học nghiên cứu về các số, cấu trúc, không gian và các phép biến đổi. Nói một cách khác, người ta cho rằng đó là môn học về "hình và số". Theo quan điểm chính thống neonics, nó là môn học nghiên cứu về các cấu trúc trừu tượng định nghĩa từ các tiên đề, bằng cách sử dụng luận lý học (lôgic) và ký hiệu toán học. Các quan điểm khác của nó được miêu tả trong triết học toán. Do khả năng ứng dụng rộng rãi trong nhiều khoa học, toán học được mệnh danh là "ngôn ngữ của vũ trụ".

Nguồn : Wikipedia - Bách khoa toàn thư

Tâm sự 9

Lớp 9 - Là năm cuối ở cấp trung học cơ sở, sắp phải bước vào một kì thi căng thẳng và sắp chia tay bạn bè, thầy cô và cả kì vọng của phụ huynh ngày càng lớn mang tên "Lên cấp 3". Thật là áp lực nhưng các em hãy cứ tự tin vào bản thân là sẻ vượt qua nhé!

Nguồn : ADMIN :))

Liên hệ hợp tác hoặc quảng cáo: gmail

Điều khoản dịch vụ

Copyright © 2021 HOCTAPSGK