Trang chủ Toán Học Lớp 6 Các bạn giúp mik với nha, đang gấp lắm. Làm...

Các bạn giúp mik với nha, đang gấp lắm. Làm cả câu a và b luôn nha1 100 101 102 1 Br 2074 裂. ar Che A-? Sanh Ava B b Chưng to rang moi Dồ ta nhiên n, phên Đố 1

Câu hỏi :

Các bạn giúp mik với nha, đang gấp lắm. Làm cả câu a và b luôn nha

image

Lời giải 1 :

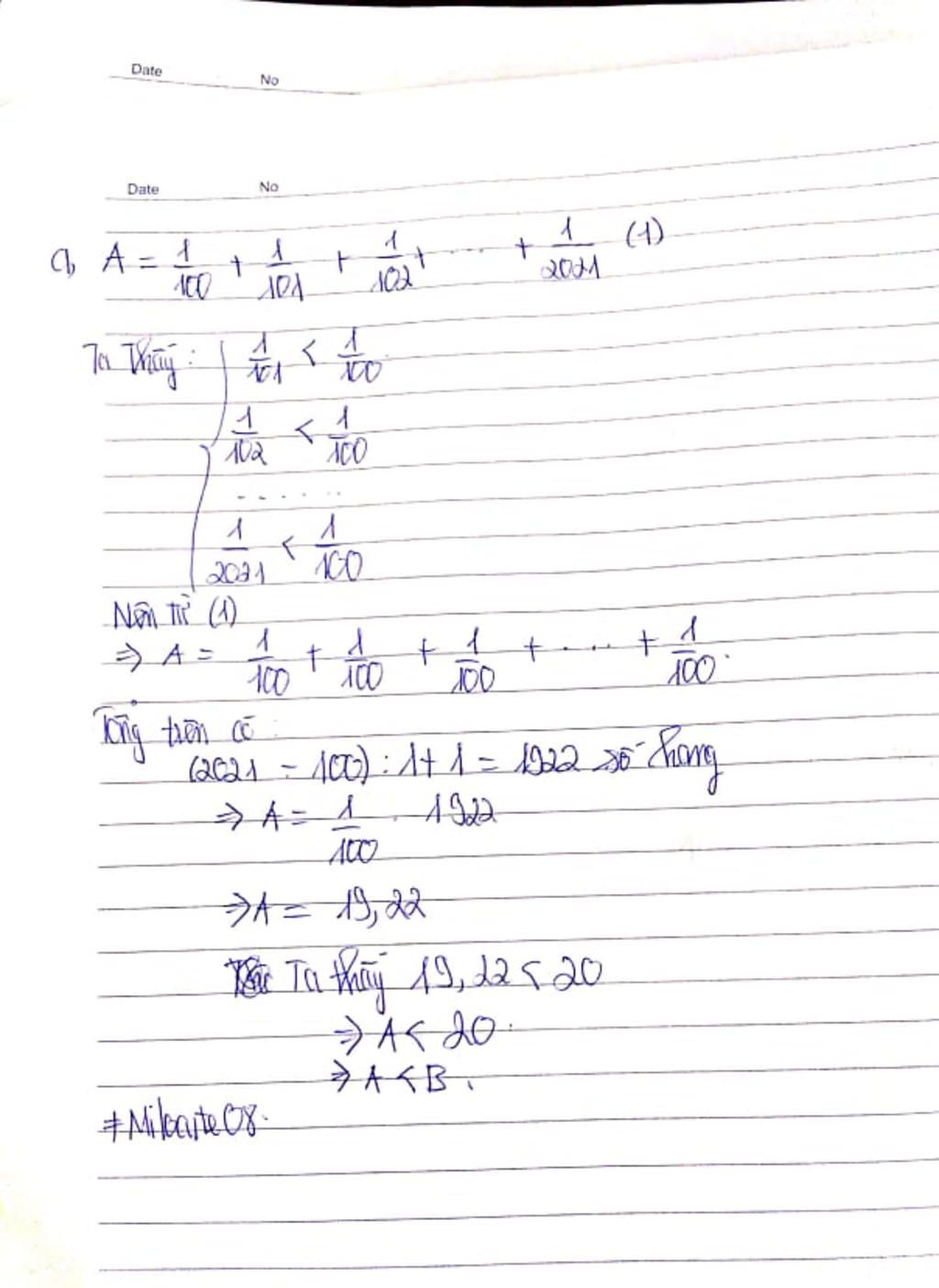
a) A=1/100+1/101+...+1/2021

  Số số hạng trên dãy trên là:  2021-100+1=1922 số hạng

  Ta có phân số 1/100 là phân số lớn nhất trong dãy trên

⇒A<1/100×1922

⇒A<19,22

 Mà 19,22<B (B=20)

⇒A<B ( theo tính chất bắc cầu )

b) Gọi d là ƯCLN của 12n+5 và 15n+6

⇒ 12n+5 ⁞ d và 15n+6 ⁞ d

⇒ 5(12n+5) ⁞ d và 4(15n+6) ⁞ d

⇔ 60n+25 ⁞ d và 60n+24 ⁞ d

⇒ (60n+25)-(60n+24) ⁞ d

⇔ 1 ⁞ d ⇒ d=1

  Vậy phân số trên tối giản với mọi n số tự nhiên ( đpcm )

Thảo luận

Lời giải 2 :

Đáp án:

 

Giải thích các bước giải:

 

image
image

Bạn có biết?

Toán học là môn khoa học nghiên cứu về các số, cấu trúc, không gian và các phép biến đổi. Nói một cách khác, người ta cho rằng đó là môn học về "hình và số". Theo quan điểm chính thống neonics, nó là môn học nghiên cứu về các cấu trúc trừu tượng định nghĩa từ các tiên đề, bằng cách sử dụng luận lý học (lôgic) và ký hiệu toán học. Các quan điểm khác của nó được miêu tả trong triết học toán. Do khả năng ứng dụng rộng rãi trong nhiều khoa học, toán học được mệnh danh là "ngôn ngữ của vũ trụ".

Nguồn : Wikipedia - Bách khoa toàn thư

Tâm sự 6

Lớp 6 - Là năm đầu tiên của cấp trung học cơ sở. Được sống lại những khỉ niệm như ngày nào còn lần đầu đến lớp 1, được quen bạn mới, ngôi trường mới, một tương lai mới!

Nguồn : ADMIN :))

Liên hệ hợp tác hoặc quảng cáo: gmail

Điều khoản dịch vụ

Copyright © 2021 HOCTAPSGK