Trang chủ Toán Học Lớp 6 ai làm đc hết mk sẽ cho hay nhất và...

ai làm đc hết mk sẽ cho hay nhất và 5 sao 1❤️❤️❤️❤️❤️12 5035 nao -2층. (-0.4)-1을. 2,75+ (-1.2) : 는: 4 LN (23.5.7).(5.73) (2.5.72)2 E = 172. Chia đều 60 chiếc k

Câu hỏi :

ai làm đc hết mk sẽ cho hay nhất và 5 sao 1❤️❤️❤️❤️❤️

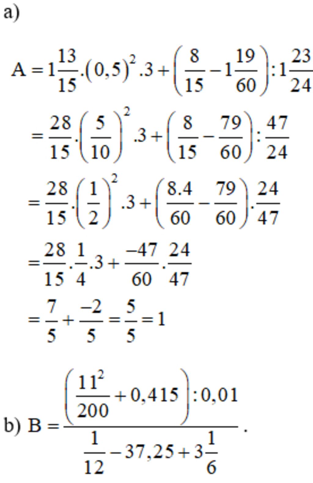
image

Lời giải 1 :

Bài 172 

BL

Hs lớp 6C nhận được số kẹo là: 60-13=47 chiếc kẹo

Do đó, 47 chiếc kẹo được chia đều cho tất cả hs lớp 6C nên số hs lớp 6C là:Ư(47)={1;47} và lớn hơn 13

Vậy số hs lớp 6C có 47 hs

Bài 173

BL

Tỉ số của thời gian ca nô đi xuôi dòng và ngược dòng là 3:5=3/5

Vì thời gian và vận tốc là 2 đại lượng tỉ lệ nghịch nên tỉ số vận tốc của ca nô đi xuôi dòng và ngược dòng là 3/5

Ta có: Vxuôi=Vca nô + V dòng nước ; V ngược = V ca nô - V dòng nước

=> Vxuôi-Vngược=2.Vdòng nước = 2.3=6km/h

Vận tốc ca nô đi xuôi dòng là 6:(5-3).5=15km/h

Độ dài khúc sông dài là 15.3=45km/h

Vậy độ dài khúc sông là 45km/h

Bài 174

BL

A=2000/2001+2001/2002       ;         B=2000+2001/2001/2002

Ta có : 

2000/2001>2000/2001+2002

2001/2002>2001/2001+2002

   CỘNG VẾ THEO VẾ TA ĐƯỢC:

2000/2001+2002/2002 > 2000+2001/2001+2002

VẬY A>B

Bài 175

BL 

Để chảy được nửa bể , 1 mình vòi A mất 4h30

=> để chảy đầy bể 1 mình vòi A mất  4h30+4h30=9h

Trong 1h vòi A chẩy đc 1/9h

để chảy đầy bể 1 mình vòi B mất 

2h15+2h15=4h30=9/2h

Trong 1h vòi B chảy đc 2/9 bể

Trong 1h cả 2 vòi chảy là 1/9+2/9=3/9=1/3 bể 

=> Để chảy đầy bể cả 2 vòi mất 1:1/3=3h

vậy cả 2 vòi cùng chảy vào bể đó thì sau 3h sẽ đầy bể

Bài 176

Bạn ơi !

Bài 176 mình ko bt làm đúng hay sai nhưng bạn tham khảo cách của cj mình nha

Còn mấy bài trên do mình làm nhé

Chúc bạn học tốt ạ 

 

image
image

Thảo luận

Bạn có biết?

Toán học là môn khoa học nghiên cứu về các số, cấu trúc, không gian và các phép biến đổi. Nói một cách khác, người ta cho rằng đó là môn học về "hình và số". Theo quan điểm chính thống neonics, nó là môn học nghiên cứu về các cấu trúc trừu tượng định nghĩa từ các tiên đề, bằng cách sử dụng luận lý học (lôgic) và ký hiệu toán học. Các quan điểm khác của nó được miêu tả trong triết học toán. Do khả năng ứng dụng rộng rãi trong nhiều khoa học, toán học được mệnh danh là "ngôn ngữ của vũ trụ".

Nguồn : Wikipedia - Bách khoa toàn thư

Tâm sự 6

Lớp 6 - Là năm đầu tiên của cấp trung học cơ sở. Được sống lại những khỉ niệm như ngày nào còn lần đầu đến lớp 1, được quen bạn mới, ngôi trường mới, một tương lai mới!

Nguồn : ADMIN :))

Liên hệ hợp tác hoặc quảng cáo: gmail

Điều khoản dịch vụ

Copyright © 2021 HOCTAPSGK