Trang chủ Vật Lý Lớp 10 Một thanh AB đồng chất, tiết diện đều có khối...

Một thanh AB đồng chất, tiết diện đều có khối lượng 4kg tựa trên hai mặt phẳng nghiêng không ma sát với góc nghiêng a = 30°, B = 60° (như hình vẽ). Lấy g= 10m/

Câu hỏi :

Một thanh AB đồng chất, tiết diện đều có khối lượng 4kg tựa trên hai mặt phẳng nghiêng không ma sát với góc nghiêng a = 30°, B = 60° (như hình vẽ). Lấy g= 10m/s. Xác định áp lực của thanh lên mỗi mặt phẳng nghiêng. Giải hộ mik bài 4 với

image

Lời giải 1 :

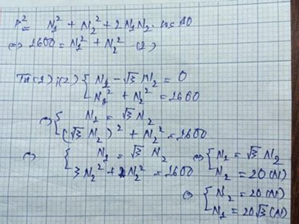
Đáp án: N2= 20 N

N1=34,64N

 

Giải thích các bước giải: 

 bạn dùng momen để thanh cân bằng  => N1= căng 3 (1) ( lưu ý tận dụng AG=GB để loại bỏ d)

bạn dùng cách tính các cạnh hình bình hành ra (2) 1600=N1 bình + N2 bình

giải hệ

image
image

Thảo luận

Bạn có biết?

Vật lý học (tiếng Anh:physics, từ tiếng Hi Lạp cổ: φύσις có nghĩa là kiến thức về tự nhiên) là một môn khoa học tự nhiên tập trung vào sự nghiên cứu vật chất và chuyển động của nó trong không gian và thời gian, cùng với những khái niệm liên quan như năng lượng và lực.Vật lí học là một trong những bộ môn khoa học lâu đời nhất, với mục đích tìm hiểu sự vận động của vũ trụ.

Nguồn : Wikipedia - Bách khoa toàn thư

Tâm sự 10

Lớp 10 - Năm thứ nhất ở cấp trung học phổ thông, năm đầu tiên nên có nhiều bạn bè mới đến từ những nơi xa hơn vì ngôi trường mới lại mỗi lúc lại xa nhà mình hơn. Được biết bên ngoài kia là một thế giới mới to và nhiều điều thú vị, một trang mới đang chò đợi chúng ta.

Nguồn : ADMIN :))

Liên hệ hợp tác hoặc quảng cáo: gmail

Điều khoản dịch vụ

Copyright © 2021 HOCTAPSGK