Trang chủ Hóa Học Lớp 8 Câu 6 : Cho 3,6gam Magie tác dụng với 12,8...

Câu 6 : Cho 3,6gam Magie tác dụng với 12,8 gam axit clohiđric. a. Chất nào còn dư và dư bao nhiêu gam? b. Dẫn toàn bộ lượng khí sinh ra để khử hoàn toàn 12g o

Câu hỏi :

Câu 6 : Cho 3,6gam Magie tác dụng với 12,8 gam axit clohiđric. a. Chất nào còn dư và dư bao nhiêu gam? b. Dẫn toàn bộ lượng khí sinh ra để khử hoàn toàn 12g oxit của kim loại R (hóa trị II). Xác định công thức hóa học của oxit kim loại trên. Giúp em mn ơiiii . Em sắp nộp ròi làm hộ câu b thôi ạ!!! Em sẽ vote và cảm ơn nhaa❤️❤️❤️❤️

Lời giải 1 :

Đáp án + Giải thích các bước giải:

$a)$

-Theo bài ra, ta có: 

`n_{Mg} = (3,6)/24 = 0,15 (mol); n_{HCl} = (12,8)/(36,5) = 128/365 (mol)`

`PTPƯ: Mg + 2HCl → MgCl_{2} + H_{2}↑ (1)`

-Ta thấy: `(n_{Mg})/1 = (0,15)/1 < (n_{HCl})/2 = 128/(365.2)`

 `  ⇒ Mg` hết`, HCl` dư.

-Theo `(1): n_{HCl pư} = 2 .n_{Mg} = 2 .0,15 = 0,3 (mol)`

`⇒ m_{HCl dư} = (128/365 -0,3).36,5 = 1,85 (g)`

$b)$

-Gọi $CTTQ$ của oxit kim loại cần tìm là `RO`

 `PTPƯ: RO + H_{2} → R + H_{2}O` $(ĐK:$ nhiệt độ$)$ `(2)`

-Theo `(1): n_{H_{2}} = n_{Mg} = 0,15` `mol`

-Theo `(2): n_{RO} = n_{H_{2}} = 0,15` `mol`

`⇒ M_{RO} = 12/(0,15) = 80` $(g/mol)$

  `⇔ R + 16 = 80 ⇒ R = 64 ⇒ R` là đồng `(Cu)`

Vậy `CTHH` của oxit cần tìm là: `CuO`

 

Thảo luận

-- Anh ơi!
-- Em là ximbui đây
-- Có chuyện mong anh lắng nghe hết ạ!
-- Sao em?
-- E gửi link để anh bt đầu đuôi câu chuyện nhé!
-- https://hoidap247.com/cau-hoi/1973459#cmt_question_1973459
-- https://hoidap247.com/cau-hoi/1972436
-- Ơ anh khóa nick bạn iamcutes r ạ?

Lời giải 2 :

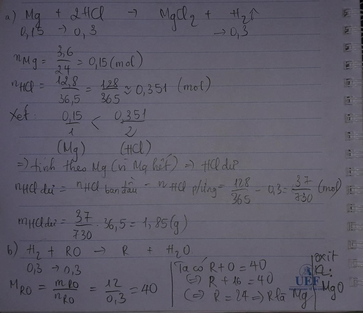
Đây nha em
image

Bạn có biết?

Hóa học, một nhánh của khoa học tự nhiên, là ngành nghiên cứu về thành phần, cấu trúc, tính chất, và sự thay đổi của vật chất.Hóa học nói về các nguyên tố, hợp chất, nguyên tử, phân tử, và các phản ứng hóa học xảy ra giữa những thành phần đó.Hóa học đôi khi được gọi là "khoa học trung tâm" vì nó là cầu nối các ngành khoa học tự nhiên khác như vật lý học, địa chất học và sinh học.

Nguồn : Wikipedia - Bách khoa toàn thư

Tâm sự 8

Lớp 8 - Năm thứ ba ở cấp trung học cơ sở, học tập bắt đầu nặng dần, sang năm lại là năm cuối cấp áp lực lớn dần nhưng các em vẫn phải chú ý sức khỏe nhé!

Nguồn : ADMIN :))

Liên hệ hợp tác hoặc quảng cáo: gmail

Điều khoản dịch vụ

Copyright © 2021 HOCTAPSGK