Trang chủ Hóa Học Lớp 8 Cho 43,7 g hỗn hợp hai kim loại Zn và...

Cho 43,7 g hỗn hợp hai kim loại Zn và Fe tác dụng với dung dịch HCl thu được giọt zncl2 và FeCl2 và 15,68 lít h2 (đktc) a, tính thành phần phần trăm của khối l

Câu hỏi :

Cho 43,7 g hỗn hợp hai kim loại Zn và Fe tác dụng với dung dịch HCl thu được giọt zncl2 và FeCl2 và 15,68 lít h2 (đktc) a, tính thành phần phần trăm của khối lượng của mỗi kim loại trong mỗi hỗn hợp ban đầu b, tính khối lượng của zncl2 và FeCl2 c, cần người tính khối lượng của HCl đã phản ứng Giải nhanh giùm mình với

Lời giải 1 :

Đáp án + Giải thích các bước giải:

 a) Gọi $x(mol) = n_{Zn}, y(mol) = n_{Fe}$
Ta có:
$m_{Zn} + m_{Fe} = 43,7(g)$

$\Rightarrow 65x + 56y = 43,7(1)$

$n_{H_2} = \dfrac{V}{22,4} = \dfrac{15,68}{22,4} = 0,7(mol)$

PTHH:
$Zn + 2HCl \longrightarrow ZnCl_2 + H_2 \uparrow$

$Fe + 2HCl \longrightarrow FeCl_2 + H_2 \uparrow$
Theo PTHH:
$n_{H_2} = n_{Zn} + n_{Fe} = 0,7(mol)$

$\Rightarrow x + y = 0,7(2)$

Từ $(1)$ và $(2)$, ta có:
$\begin {cases} 65x + 56y = 43,7(1) \\ x + y = 0,7(2) \end {cases}$

$\Rightarrow \begin {cases} x = 0,5 \\ y = 0,2 \end {cases}$

 $\Rightarrow m_{Zn} = n . M= 0,5 . 65 = 32,5(g)$

$\Rightarrow \%_{Zn} = \dfrac{32,5}{43,7} . 100\% \approx 74,37\%$

$\%_{Fe} =100\% - 74,37\% = 25,63\%$

b) Theo PTHH:

$n_{ZnCl_2} = n_{Zn} = 0,5(mol)$
$n_{FeCl_2} = n_{Fe} = 0,2(mol)$
$\Rightarrow m_{ZnCl_2} = n . M = 0,5 . (65 + 2 . 35,5) = 0,5 . 136 = 68(g)$

$m_{FeCl_2} = n . M = 0,2 . (56 + 2 . 35,5) = 0,2 . 127 = 25,4(g)$
c) Theo PTHH:
$n_{HCl} = 2(n_{Zn} + n_{Fe}) = 2 . 0,7 = 1,4(mol)$

$\Rightarrow m_{HCl} = n . M = 1,4 . (35,5 + 1) = 1,4 . 36,5 = 51,1(g)$

$\color{red}{\text{#Vexi}}$

Thảo luận

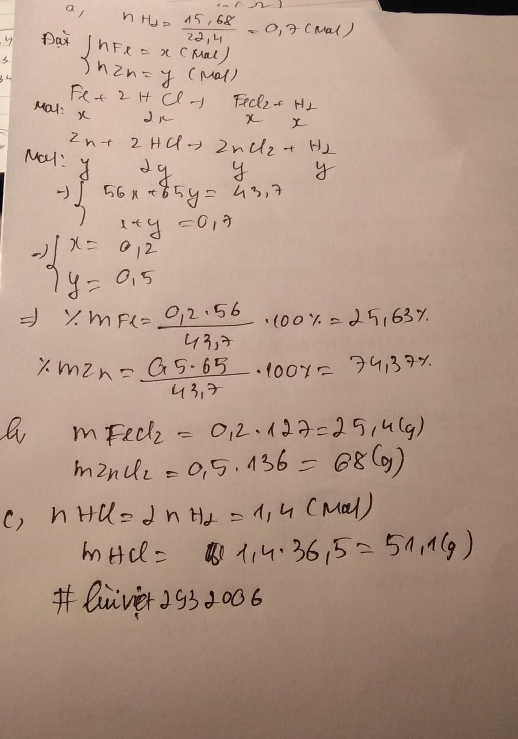
Lời giải 2 :

 

image

Bạn có biết?

Hóa học, một nhánh của khoa học tự nhiên, là ngành nghiên cứu về thành phần, cấu trúc, tính chất, và sự thay đổi của vật chất.Hóa học nói về các nguyên tố, hợp chất, nguyên tử, phân tử, và các phản ứng hóa học xảy ra giữa những thành phần đó.Hóa học đôi khi được gọi là "khoa học trung tâm" vì nó là cầu nối các ngành khoa học tự nhiên khác như vật lý học, địa chất học và sinh học.

Nguồn : Wikipedia - Bách khoa toàn thư

Tâm sự 8

Lớp 8 - Năm thứ ba ở cấp trung học cơ sở, học tập bắt đầu nặng dần, sang năm lại là năm cuối cấp áp lực lớn dần nhưng các em vẫn phải chú ý sức khỏe nhé!

Nguồn : ADMIN :))

Liên hệ hợp tác hoặc quảng cáo: gmail

Điều khoản dịch vụ

Copyright © 2021 HOCTAPSGK