Trang chủ Toán Học Lớp 7 Cho tam giác ABC vuông tại A có AB=12cm,AC=9 cm....

Cho tam giác ABC vuông tại A có AB=12cm,AC=9 cm. a,Tính độ dài cạnh BC và so sánh các góc của tam giác ABC. b,Trên tia đối của tia CA lấy điểm D sao cho C là

Câu hỏi :

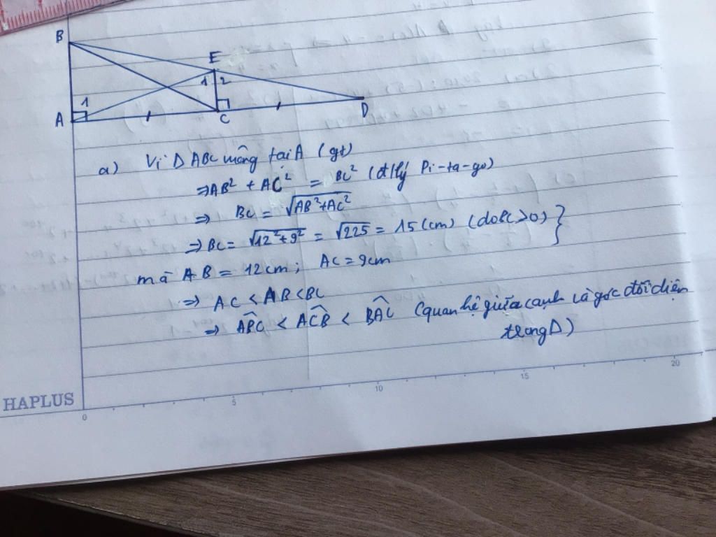
Cho tam giác ABC vuông tại A có AB=12cm,AC=9 cm. a,Tính độ dài cạnh BC và so sánh các góc của tam giác ABC. b,Trên tia đối của tia CA lấy điểm D sao cho C là trung điểm của AD.Qua C kẻ đường vuông góc với AD cắt BD tại E.Chứng minh tam giác ECA= tam giác ECD c,Chứng minh Tam giác AEB cân

Lời giải 1 :

Đáp án:

 

Giải thích các bước giải:

 

image
image

Thảo luận

-- bạn làm hộ mình phần d được không d) Từ D vẽ đường thẳng vuông góc với BC tại F. Vẽ tia Bx là tia phân giác góc ABC và vẽ tia Dy là tia phân góc CDF. Tia Dy cát tia BC,Bx,BA lần lượt tại N,H,M. Chứng minh tam giác BMN cân

Bạn có biết?

Toán học là môn khoa học nghiên cứu về các số, cấu trúc, không gian và các phép biến đổi. Nói một cách khác, người ta cho rằng đó là môn học về "hình và số". Theo quan điểm chính thống neonics, nó là môn học nghiên cứu về các cấu trúc trừu tượng định nghĩa từ các tiên đề, bằng cách sử dụng luận lý học (lôgic) và ký hiệu toán học. Các quan điểm khác của nó được miêu tả trong triết học toán. Do khả năng ứng dụng rộng rãi trong nhiều khoa học, toán học được mệnh danh là "ngôn ngữ của vũ trụ".

Nguồn : Wikipedia - Bách khoa toàn thư

Tâm sự 7

Lớp 7 - Năm thứ hai ở cấp trung học cơ sở, một cuồng quay mới lại đến vẫn bước tiếp trên đường đời học sinh. Học tập vẫn là nhiệm vụ chính!

Nguồn : ADMIN :))

Liên hệ hợp tác hoặc quảng cáo: gmail

Điều khoản dịch vụ

Copyright © 2021 HOCTAPSGK