Trang chủ Toán Học Lớp 7 Trong các số sau, những số nào là nghiệm của...

Trong các số sau, những số nào là nghiệm của đa thức f(x)=-3x2 – 33x – 72? Hoàn thành O -3 84% O -8 O 2 Luyện tập lại

Câu hỏi :

nhanh giúp mik với ạ

image

Lời giải 1 :

Đáp án:

 Xét -3x²-33x-72=0

  ⇒-3x²-33x=72

⇒-3x(x + 11)=72

Xét từng trường hợp ra      

 0 không phải là nghiệm vì 0.8 không bằng 72(loại)

-3  là nghiệm vì 9.8=72

-8 là nghiệm vì 24.3=72

2 không phải là nghiệm vì -6 . 13=-78(loại)

Vậy đa thức F(x) có 2 nghiệm là x=-3 và x=-8

XIN HAY NHẤT NHA

@hoang

Thảo luận

-- (Ai vào nhóm phải qua nó hết)
-- Vì bạn rời nothing nên câu này nhường bạn ctlhn :)
-- uk
-- :)
-- vào fandom ko
-- À mk chỉ ra ngoài những ngày thường trong tuần để cày điểm
-- Còn cuối tuần mk mới về fandom cày cho nhóm cơ :)
-- Mai lại về fandom

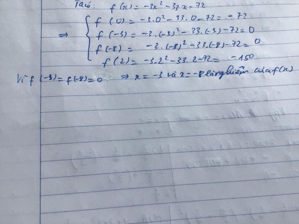
Lời giải 2 :

Đáp án:

 

Giải thích các bước giải:

 

image

Bạn có biết?

Toán học là môn khoa học nghiên cứu về các số, cấu trúc, không gian và các phép biến đổi. Nói một cách khác, người ta cho rằng đó là môn học về "hình và số". Theo quan điểm chính thống neonics, nó là môn học nghiên cứu về các cấu trúc trừu tượng định nghĩa từ các tiên đề, bằng cách sử dụng luận lý học (lôgic) và ký hiệu toán học. Các quan điểm khác của nó được miêu tả trong triết học toán. Do khả năng ứng dụng rộng rãi trong nhiều khoa học, toán học được mệnh danh là "ngôn ngữ của vũ trụ".

Nguồn : Wikipedia - Bách khoa toàn thư

Tâm sự 7

Lớp 7 - Năm thứ hai ở cấp trung học cơ sở, một cuồng quay mới lại đến vẫn bước tiếp trên đường đời học sinh. Học tập vẫn là nhiệm vụ chính!

Nguồn : ADMIN :))

Liên hệ hợp tác hoặc quảng cáo: gmail

Điều khoản dịch vụ

Copyright © 2021 HOCTAPSGK