Trang chủ Toán Học Lớp 7 cho hai đa thức : M = x²y - 1/2...

cho hai đa thức : M = x²y - 1/2 . xy²+ 7xy - 0,5 và N = x³ - 2xy + x²y + 1,5 + 9xy² . Tính M + N ,tính M - N. Em sắp thi rồi anh,chị giúp em với

Câu hỏi :

cho hai đa thức : M = x²y - 1/2 . xy²+ 7xy - 0,5 và N = x³ - 2xy + x²y + 1,5 + 9xy² . Tính M + N ,tính M - N. Em sắp thi rồi anh,chị giúp em với

Lời giải 1 :

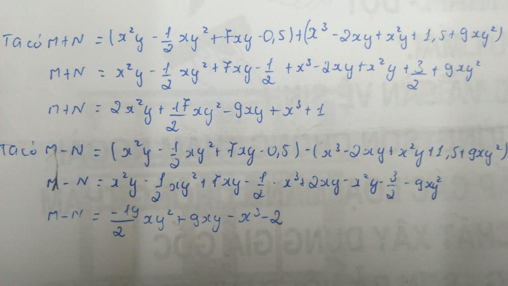
M + N = x²y - $\frac{1}{2}$ . xy²+ 7xy - 0,5 +x³ - 2xy + x²y + 1,5 + 9xy²

            =x³+2x²y+$\frac{17}{2}$.xy²+5xy+1

             

M- N = x²y -$\frac{1}{2}$ . xy² + 7xy - 0,5 -(x³ - 2xy + x²y + 1,5 + 9xy²)

         =x²y - $\frac{1}{2}$ . xy²+ 7xy - 0,5 -x³ + 2xy - x²y - 1,5 - 9xy²

         =-x³-$\frac{19}{2}$.xy²+9xy-2

HỌC TỐT!!

5 sao và ctlhn nhé@@

Thảo luận

-- Phải đổi ra nữa mà,bạn giải sai rồi đấy
-- à lộn sắp xếp chứ
-- lớp 7 làm là phải sắp xếp à,mik lớp 8 rồi nên ko để ý
-- mà kết quả cuối cùng mik sắp xếp rồi mà
-- Đa thức 1 biến mới phải sắp xếp, đa thức thường không cần sắp xếp đâu
-- Vậy làm sao để phân biệt đa thức thường và đa thức 1 biến vậy ạ?
-- trả lời rồi em vote câu trả lời hay nhất cho ^^
-- +)Đa thức 1 biến là đa thức chỉ có 1 biến cần tìm.VD:đa thứ chỉ có 1 biến là x hoặc y. +)đa thức thường là đa thức có nhiều hơn 1 biến .Vd:có cả x và y giống với đa thức trên

Lời giải 2 :

Xin 5 sao + ctlhn

CHÚC BẠN HỌC TỐT 

image

Bạn có biết?

Toán học là môn khoa học nghiên cứu về các số, cấu trúc, không gian và các phép biến đổi. Nói một cách khác, người ta cho rằng đó là môn học về "hình và số". Theo quan điểm chính thống neonics, nó là môn học nghiên cứu về các cấu trúc trừu tượng định nghĩa từ các tiên đề, bằng cách sử dụng luận lý học (lôgic) và ký hiệu toán học. Các quan điểm khác của nó được miêu tả trong triết học toán. Do khả năng ứng dụng rộng rãi trong nhiều khoa học, toán học được mệnh danh là "ngôn ngữ của vũ trụ".

Nguồn : Wikipedia - Bách khoa toàn thư

Tâm sự 7

Lớp 7 - Năm thứ hai ở cấp trung học cơ sở, một cuồng quay mới lại đến vẫn bước tiếp trên đường đời học sinh. Học tập vẫn là nhiệm vụ chính!

Nguồn : ADMIN :))

Liên hệ hợp tác hoặc quảng cáo: gmail

Điều khoản dịch vụ

Copyright © 2021 HOCTAPSGK