Trang chủ Toán Học Lớp 9 cái mà mình bỏ trong ngoặc kép ấy ạ, mọi...

cái mà mình bỏ trong ngoặc kép ấy ạ, mọi người giải thích giúp mình tại sao lại biến đc thành 4 ạ, các bạn giải chi tiết cái phần có ngoặc đó thành 4 đi ạ|| ||

Câu hỏi :

cái mà mình bỏ trong ngoặc kép ấy ạ, mọi người giải thích giúp mình tại sao lại biến đc thành 4 ạ, các bạn giải chi tiết cái phần có ngoặc đó thành 4 đi ạ

image

Lời giải 1 :

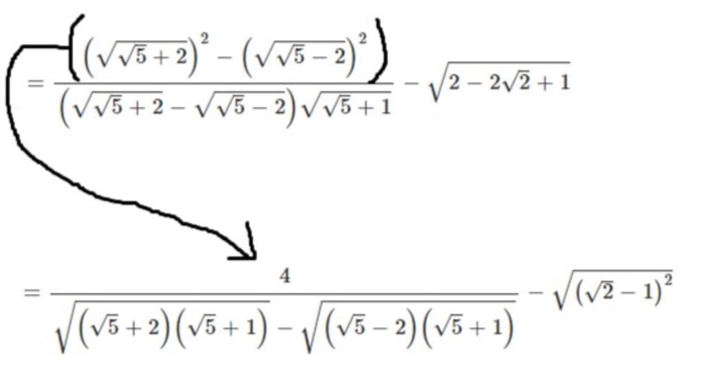
`(\sqrt{\sqrt{5}+2})^2-(\sqrt{\sqrt{5}-2})^2`

`=\sqrt{5}+2-(\sqrt{5}-2)`

`=\sqrt{5}+2-\sqrt{5}+2`

`=4`

Xin hay nhất cho nhóm ạ

Thảo luận

-- sao thế bạn O:?
-- https://hoidap247.com/cau-hoi/4713158 bạn xem 2 dòng đầu cho mình với ạ. cũng là từ cái đầu đến dòng 2 mà là của cái mà mình hỏi trên ấy ạ sao phải đổi thành dấu trừ ạ
-- dòng đầu đang dương thì sao lại bình lên là nó mang âm vậy ạ
-- mình chưa hiểu lắm, bạn giải thích giúp mình với
-- để mình xem ạ
-- bạn kia nhân `\sqrt{\sqrt{5}+2}-\sqrt{\sqrt{5}-2}` ở cả tử và mẫu rồi sử dụng hằng đẳng thức `A^2-B^2=(A+B)(A-B)` bạn nhé
-- à mình hiểu rồi, cảm ơn b nhiều ạ
-- ok ạ^^

Lời giải 2 :

↓↓

 

image

Bạn có biết?

Toán học là môn khoa học nghiên cứu về các số, cấu trúc, không gian và các phép biến đổi. Nói một cách khác, người ta cho rằng đó là môn học về "hình và số". Theo quan điểm chính thống neonics, nó là môn học nghiên cứu về các cấu trúc trừu tượng định nghĩa từ các tiên đề, bằng cách sử dụng luận lý học (lôgic) và ký hiệu toán học. Các quan điểm khác của nó được miêu tả trong triết học toán. Do khả năng ứng dụng rộng rãi trong nhiều khoa học, toán học được mệnh danh là "ngôn ngữ của vũ trụ".

Nguồn : Wikipedia - Bách khoa toàn thư

Tâm sự 9

Lớp 9 - Là năm cuối ở cấp trung học cơ sở, sắp phải bước vào một kì thi căng thẳng và sắp chia tay bạn bè, thầy cô và cả kì vọng của phụ huynh ngày càng lớn mang tên "Lên cấp 3". Thật là áp lực nhưng các em hãy cứ tự tin vào bản thân là sẻ vượt qua nhé!

Nguồn : ADMIN :))

Liên hệ hợp tác hoặc quảng cáo: gmail

Điều khoản dịch vụ

Copyright © 2021 HOCTAPSGK