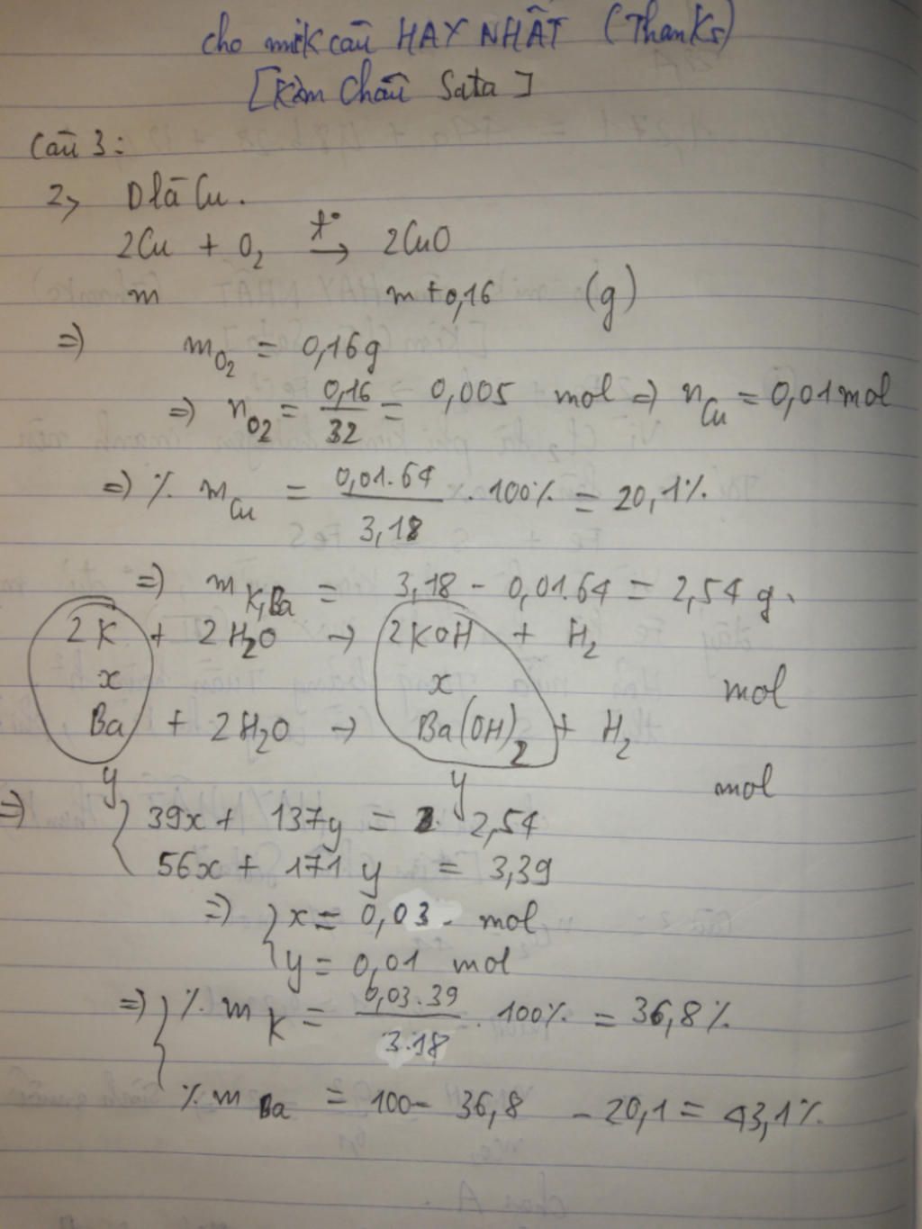
Trang chủ Hóa Học Lớp 8 Câu 3 (3,0 đ) 1. Hon hợp A gồm: CuO,...

Câu 3 (3,0 đ) 1. Hon hợp A gồm: CuO, Fe3O4. TI lệ số mol của CuO và Fes04 là 3:1. Khử 9,44 gam hỗn hợp A bằng V lít hỗn Ahợp khí CO và H2 (dkte). Tính V? 2

Câu hỏi :

Làm 1 phần cũng đc help me

image

Lời giải 1 :

Bài 3:

CuO + CO to→ Cu + CO2 (1)

Fe3O4 + 4CO to→ 3Fe +4 CO2 ( 2)

CuO + H2 to→ Cu + H2O (3)

Fe3O4 + 4H2 to→ 3Fe + 4H2O (4)

Đặt nFe3O4 = a (mol)

mà nCuO : nFe2O3 = 3 : 1 => nCuO = 3a(mol)

=> mFe3O4 = 232a(g) và mCuO = 3a . 80 =240a(g)

mà mFe3O4 + mCuO = 9,44 (g)

=> 232a + 240a= 9,44

=> a = 0,02(mol)

Do đó : nFe3O4 = a = 0,02(mol) và nCuO = 3a = 3 . 0,02 = 0,06(mol)

Theo PT(1)(3) => nCO (PT1) + nH2(PT3) = nCuO = 0,06 (mol)

Theo PT(2)(4) => nCO(PT2) + nH2(PT4) = 4. nFe3O4 = 4 . 0,02 =0,08(mol)

Do đó : tổng n(CO + H2) = 0,06 + 0,08 =0,14(mol)

=> V(CO + H2) = 0,14 . 22,4 =3,136(l)

Vậy V = 3,136(l)

 Bài 4:

1.

 %mKMnO4=48,8%; %mKClO3=51,2%

Giải thích các bước giải:

 Gọi số mol KMnO4 là a; KClO3 là b

-> m hỗn hợp ban đầu=158a + 122,5b

Nung hỗn hợp

2KMnO4 -> K2MnO4 + MnO2 + O2

2KClO3 -> 2KCl  + 3O2

-> nK2MnO4=nMnO2=1/2nKMnO4=0,5a

-> nKCl=nKClO3=b

-> m rắn=mK2MnO4 +mMnO2 +mKCl=197.0,5a +87.0,5a+74,5b=142a+74,5b

-> 142a+74,5b=75%(158a+122,5b)=118,5a+91,875b

->23,5a=17,375b

-> a=0,74b

-> %mKMnO4=158a/(158a+122,5b) =48,8% -> %mKClO3=51,2%

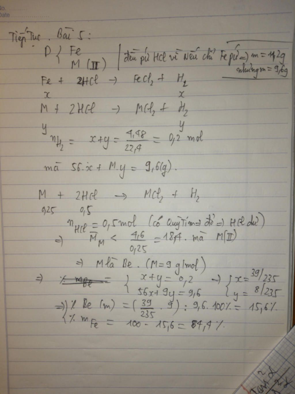
2.

R là Mg

m muối=18,1 gam

Giải thích các bước giải:

 Gọi R hoá trị n

2Al +6HCl ---> 2AlCl3 +3 H2

2R + 2nHCl- --> RCln + nH2

Gọi số mol R là a -> nAl=2a

->m C=mAl +mR=27.2a +Ra=54a +Ra=3,9-> a=3,9/(R+54)

nH2=1,5nAl + n/2R=1,5.2a+n/2 .a=3a +na/2=4,48/22,4=0,2 mol

-> 6a+na=0,4 -> a=0,4/(6+n)

-> 3,9/(R +54)=0,4/(6+n)

-> 3,9(6+n)=0,4(R+54)

->3,9n +1,8=0,4R

->R=9,75n+4,5

Vì R nguyên -> thoả mãn n=2 -> R=24 -> R là Mg

-> a=0,05 mol

Muối thu được là AlCl3 0,1 mol và MgCl2 0,05 mol

-> m muối=0,1.(27+35,5.3)+0,05(24+35,5.2)=18,1 gam

# Mình chỉ làm được câu 3,4 thôi câu 5 bạn nhờ ai đó làm nhé! Chúc bạn học tốt! ^-^

Thảo luận

Lời giải 2 :

Đáp án:

 

Giải thích các bước giải:

 

image
image

Bạn có biết?

Hóa học, một nhánh của khoa học tự nhiên, là ngành nghiên cứu về thành phần, cấu trúc, tính chất, và sự thay đổi của vật chất.Hóa học nói về các nguyên tố, hợp chất, nguyên tử, phân tử, và các phản ứng hóa học xảy ra giữa những thành phần đó.Hóa học đôi khi được gọi là "khoa học trung tâm" vì nó là cầu nối các ngành khoa học tự nhiên khác như vật lý học, địa chất học và sinh học.

Nguồn : Wikipedia - Bách khoa toàn thư

Tâm sự 8

Lớp 8 - Năm thứ ba ở cấp trung học cơ sở, học tập bắt đầu nặng dần, sang năm lại là năm cuối cấp áp lực lớn dần nhưng các em vẫn phải chú ý sức khỏe nhé!

Nguồn : ADMIN :))

Liên hệ hợp tác hoặc quảng cáo: gmail

Điều khoản dịch vụ

Copyright © 2021 HOCTAPSGK