Trang chủ Hóa Học Lớp 10 Cho $24,8g$ hh $Cu_{2}S$ và $FeS$ có cùng số mol,...

Cho $24,8g$ hh $Cu_{2}S$ và $FeS$ có cùng số mol, tác dụng với $H_{2}SO_{4}$ đặc dư, đun nóng thấy thoát ra $V(l)$ $SO_{2}$ $(dktc)$. Tính giá trị của $V$ ?

Câu hỏi :

Cho $24,8g$ hh $Cu_{2}S$ và $FeS$ có cùng số mol, tác dụng với $H_{2}SO_{4}$ đặc dư, đun nóng thấy thoát ra $V(l)$ $SO_{2}$ $(dktc)$. Tính giá trị của $V$ ?

Lời giải 1 :

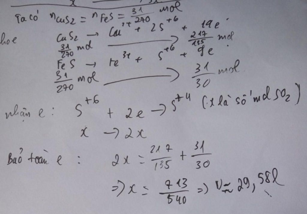
Đáp án:nCu2S=NFeS = 0,1 mol
=>Cu2S-8e -> 2Cu2+ + S4
=>FeS-7e -> Fe3+ + S4
=>S6+2e ->S4
nS4 = 0,1+0,1 + 4x0,1 + 0,1x7/2 = 0,95 =>
V = 21,28l

 

Giải thích các bước giải:

 

image

Thảo luận

-- xin hay nhất

Lời giải 2 :

Đặt $n_{Cu_2S}=n_{FeS}=a(mol)$

$\to 160a+88a=24,8$

$\to a=0,1$

$\to n_{Cu_2S}=n_{FeS}=0,1(mol)$

$Cu_2S+6H_2SO_4\to 2CuSO_4+5SO_2+6H_2O$

$2FeS+10H_2SO_4\to Fe_2(SO_4)_3+9SO_2+10H_2O$

$\to n_{SO_2}=5a+\dfrac{9}{2}a=0,95(mol)$

Vậy $V=0,95.22,4=21,28l$

Bạn có biết?

Hóa học, một nhánh của khoa học tự nhiên, là ngành nghiên cứu về thành phần, cấu trúc, tính chất, và sự thay đổi của vật chất.Hóa học nói về các nguyên tố, hợp chất, nguyên tử, phân tử, và các phản ứng hóa học xảy ra giữa những thành phần đó.Hóa học đôi khi được gọi là "khoa học trung tâm" vì nó là cầu nối các ngành khoa học tự nhiên khác như vật lý học, địa chất học và sinh học.

Nguồn : Wikipedia - Bách khoa toàn thư

Tâm sự 10

Lớp 10 - Năm thứ nhất ở cấp trung học phổ thông, năm đầu tiên nên có nhiều bạn bè mới đến từ những nơi xa hơn vì ngôi trường mới lại mỗi lúc lại xa nhà mình hơn. Được biết bên ngoài kia là một thế giới mới to và nhiều điều thú vị, một trang mới đang chò đợi chúng ta.

Nguồn : ADMIN :))

Liên hệ hợp tác hoặc quảng cáo: gmail

Điều khoản dịch vụ

Copyright © 2021 HOCTAPSGK