Trang chủ Toán Học Lớp 6 2. Tìm x a) 1/2 . x + 2/5 =...

2. Tìm x a) 1/2 . x + 2/5 = 1 và 2/5 b) 2/3 + 1/3 : x = 1 c) 3x - 1/5 = 1/3 d) 2 và 7/9 - 3/4 . ( x+1 ) = 7/9 câu hỏi 1834626 - hoctapsgk.com

Câu hỏi :

2. Tìm x a) 1/2 . x + 2/5 = 1 và 2/5 b) 2/3 + 1/3 : x = 1 c) 3x - 1/5 = 1/3 d) 2 và 7/9 - 3/4 . ( x+1 ) = 7/9

Lời giải 1 :

Kết luận là cái dấu ⇒ nha

theo thứ tự nhé

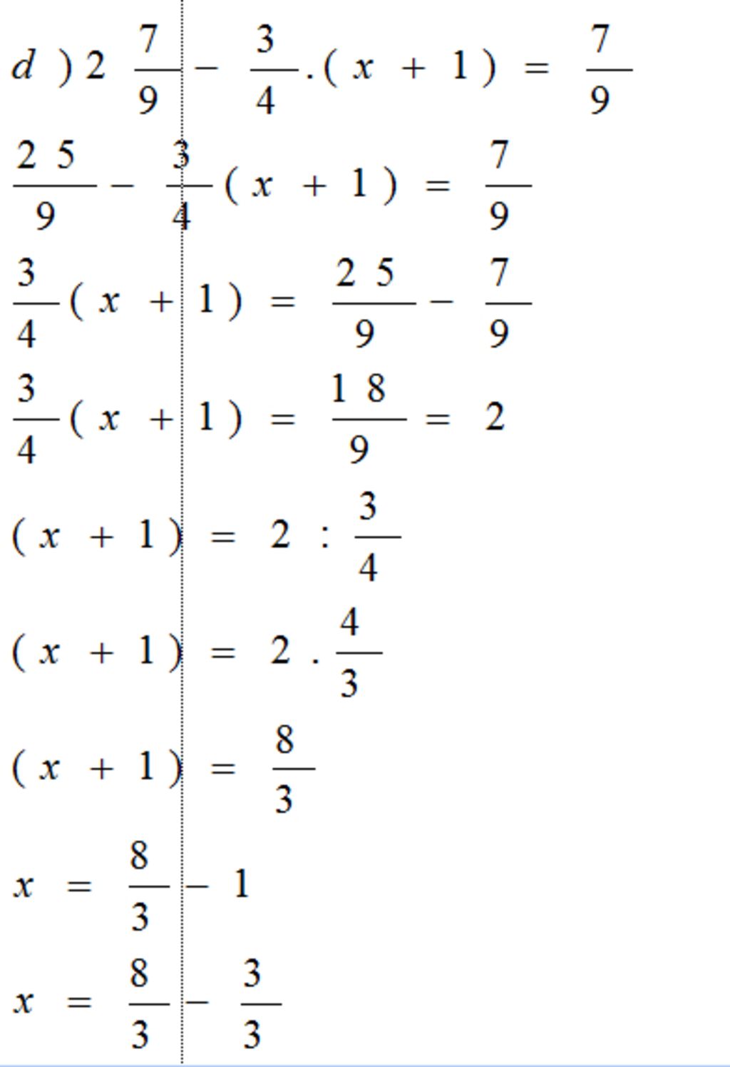
Nếu cái chỗ phần d, phần cuối cùng thì kết quả là $\frac{5}{3}$ nha :3

image
image
image
image

Thảo luận

-- ơ j báo vi phạm, hấp à
-- bạn vote mk 3* à
-- Mình vote 5*
-- chủ tus ơi, vote mk 3* à :<
-- Bạn vote 1* thì mình không biết :(
-- cái bạn j j đó vote mk 1* và bc để bạn ấy làm ý mà
-- mà cho tui cảm ơn trc nhé, nếu thấy bài tui oke nhớ cho tui ctlhn đc hok nak chủ tus ew quý :3

Lời giải 2 :

Đáp án:

 

Giải thích các bước giải:

a) 1/2.x+2/5=1 và 2/5

1/2.x+2/5=7/5

1/2.x=7/5-2/5

1/2.x=1

x=1÷1/2

x=2

b) 2/3+1/3÷x=1

1/3÷x=1-2/3

1/3÷x=1/3

x=1/3÷1/3

x=1

c) 3x-1/5=1/3

3x=1/3+1/5

3x=8/15

x=8/15÷3

x=8/45

d) 2 và 7/9-3/4.(x+1)=7/9

25/9-3/4.(x+1)=7/9

3/4.(x+1)=25/9-7/9

3/4.(x+1)=2

x+1=2÷3/4

x+1=8/3= 2+2/3

x=(2-1)+2/3

x=1+2/3 hay 5/3

Bạn có biết?

Toán học là môn khoa học nghiên cứu về các số, cấu trúc, không gian và các phép biến đổi. Nói một cách khác, người ta cho rằng đó là môn học về "hình và số". Theo quan điểm chính thống neonics, nó là môn học nghiên cứu về các cấu trúc trừu tượng định nghĩa từ các tiên đề, bằng cách sử dụng luận lý học (lôgic) và ký hiệu toán học. Các quan điểm khác của nó được miêu tả trong triết học toán. Do khả năng ứng dụng rộng rãi trong nhiều khoa học, toán học được mệnh danh là "ngôn ngữ của vũ trụ".

Nguồn : Wikipedia - Bách khoa toàn thư

Tâm sự 6

Lớp 6 - Là năm đầu tiên của cấp trung học cơ sở. Được sống lại những khỉ niệm như ngày nào còn lần đầu đến lớp 1, được quen bạn mới, ngôi trường mới, một tương lai mới!

Nguồn : ADMIN :))

Liên hệ hợp tác hoặc quảng cáo: gmail

Điều khoản dịch vụ

Copyright © 2021 HOCTAPSGK