Trang chủ Toán Học Lớp 7 ĐỀ CƯƠNG ÔN TẬP TOÁN 7 HK II 2020 -2021...

ĐỀ CƯƠNG ÔN TẬP TOÁN 7 HK II 2020 -2021 Bài 1: Thu gọn các đơn thức sau và tìm bậc : a) Bài 2 : Thu gọn: a/ (-6x'zy)(글yx? b/ (xy – 5x'y + xy - xy³) – (x'y'

Câu hỏi :

Nhờ giải giúp hết tất cả bài

image

Lời giải 1 :

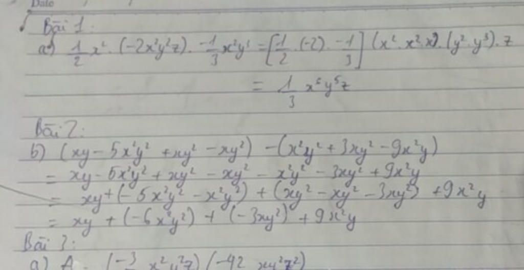
Bài của bạn trong hình dưới

image
image
image
image
image

Thảo luận

-- ??
-- sorry bạn nhìu!
-- mk làm xong bài 9,10 ý a) bài 2 và ý b) bài 1 nhưng vì "ko được gửi quá 5 ảnh trong 1 câu trả lời" nên mk ko thể gửi được mong bạn thông cảm cho mk nhé !
-- nếu bạn đặt câu hỏi này lần thứ 2 thì mk có thể gửi nốt cho bạn.

Bạn có biết?

Toán học là môn khoa học nghiên cứu về các số, cấu trúc, không gian và các phép biến đổi. Nói một cách khác, người ta cho rằng đó là môn học về "hình và số". Theo quan điểm chính thống neonics, nó là môn học nghiên cứu về các cấu trúc trừu tượng định nghĩa từ các tiên đề, bằng cách sử dụng luận lý học (lôgic) và ký hiệu toán học. Các quan điểm khác của nó được miêu tả trong triết học toán. Do khả năng ứng dụng rộng rãi trong nhiều khoa học, toán học được mệnh danh là "ngôn ngữ của vũ trụ".

Nguồn : Wikipedia - Bách khoa toàn thư

Tâm sự 7

Lớp 7 - Năm thứ hai ở cấp trung học cơ sở, một cuồng quay mới lại đến vẫn bước tiếp trên đường đời học sinh. Học tập vẫn là nhiệm vụ chính!

Nguồn : ADMIN :))

Liên hệ hợp tác hoặc quảng cáo: gmail

Điều khoản dịch vụ

Copyright © 2021 HOCTAPSGK