Trang chủ Toán Học Lớp 6 Bài 3 (3,0 điểm). Vẽ tia OA và OB sao...

Bài 3 (3,0 điểm). Vẽ tia OA và OB sao cho AOB 90°, lấy điểm C nằm giữa hai diểm A và B sao cho AOC 40° 1. Chứng minh tia OC nằm giữa hai tia OA và OB và tí

Câu hỏi :

nhanh vs ak mik đg cần gấp ak

image

Lời giải 1 :

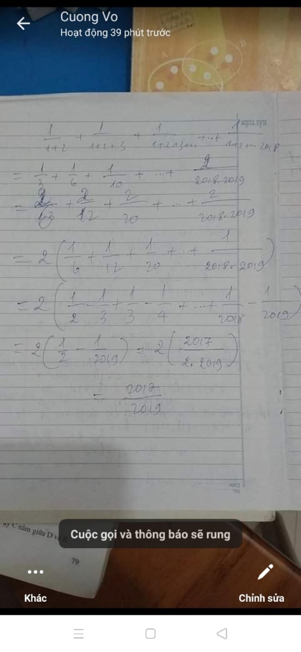
Cứ làm theo cách này thì ra nha bạn( bài cuối)
image

Thảo luận

Lời giải 2 :

1.Trên cũng nửa mp bờ chứa tia OA, ta có:

AOB=90 độ    AOC=40 độ  }=>AOB>AOC

=>Tia OC nằm giữa OA và OB.

=>AOC+COB=AOB

=>40 độ +COB=90 độ

=>COB=90 độ -40 độ=50 độ

Vậy...

2.

a.Trên cùng nửa mp bờ chứa tia OA, ta có:

AOD=140 độ     AOB=90 độ  }=>AOB<AOD

=>Tia OB là tia nằm giữa OA và OD.

=>AOB+BOD=AOD

=>90 độ+BOD=140 độ 

=>BOD=140 độ - 90 độ=50 độ

Vậy...

b.Vì tia OB nằm giữa OA và OD mà tia OC thuộc AOB=>tia OB nằm giữa OC và OD(1)

Ta có :BOD=50 độ    BOC=50 độ  }BOD=BOC(2)

Từ (1)và (2)=>Tia OB là tia phân giác của COD

Vậy....

Bạn tự vẽ hình nha!

Xin lỗi mik ko biết làm bài 4.

Bạn có biết?

Toán học là môn khoa học nghiên cứu về các số, cấu trúc, không gian và các phép biến đổi. Nói một cách khác, người ta cho rằng đó là môn học về "hình và số". Theo quan điểm chính thống neonics, nó là môn học nghiên cứu về các cấu trúc trừu tượng định nghĩa từ các tiên đề, bằng cách sử dụng luận lý học (lôgic) và ký hiệu toán học. Các quan điểm khác của nó được miêu tả trong triết học toán. Do khả năng ứng dụng rộng rãi trong nhiều khoa học, toán học được mệnh danh là "ngôn ngữ của vũ trụ".

Nguồn : Wikipedia - Bách khoa toàn thư

Tâm sự 6

Lớp 6 - Là năm đầu tiên của cấp trung học cơ sở. Được sống lại những khỉ niệm như ngày nào còn lần đầu đến lớp 1, được quen bạn mới, ngôi trường mới, một tương lai mới!

Nguồn : ADMIN :))

Liên hệ hợp tác hoặc quảng cáo: gmail

Điều khoản dịch vụ

Copyright © 2021 HOCTAPSGK