Trang chủ Toán Học Lớp 11 1. Cho hàm số y bằng $\frac{x+1}{x-1}$ (C). tọa độ...

1. Cho hàm số y bằng $\frac{x+1}{x-1}$ (C). tọa độ điểm thuộc trục tung mà từ đó kẻ được đúng 1 tiếp tuyến tới đồ thị hàm số A.A(0;$\frac{-3}{2}$),B(0;$\frac{

Câu hỏi :

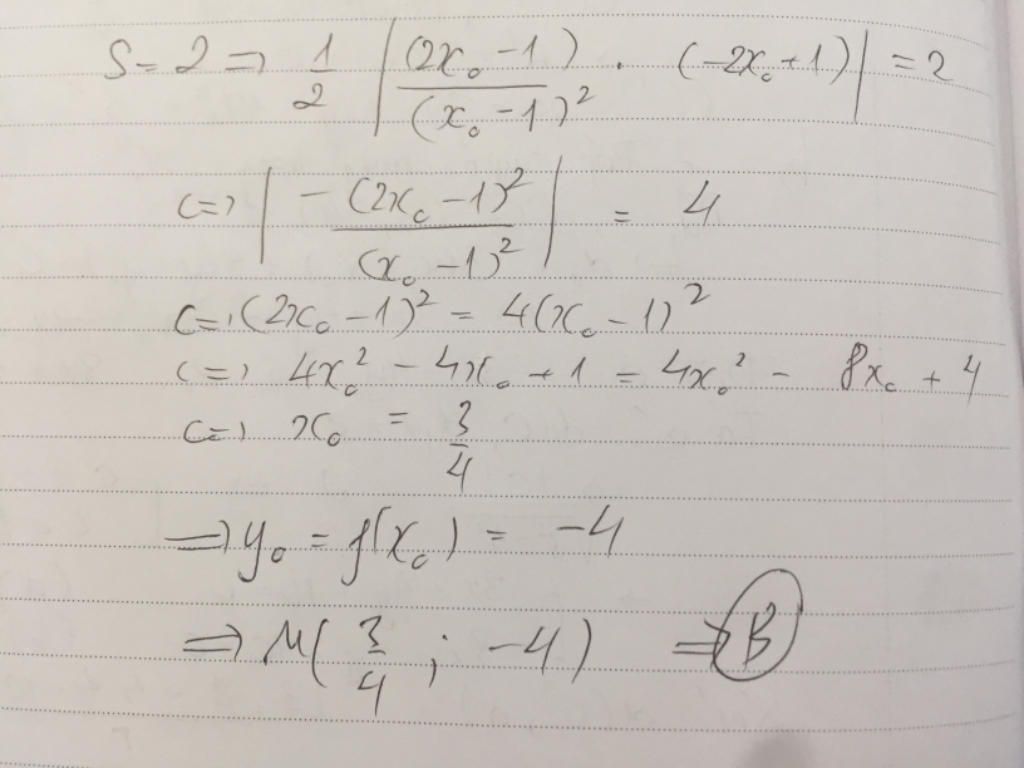
1. Cho hàm số y bằng $\frac{x+1}{x-1}$ (C). tọa độ điểm thuộc trục tung mà từ đó kẻ được đúng 1 tiếp tuyến tới đồ thị hàm số A.A(0;$\frac{-3}{2}$),B(0;$\frac{3}{2}$) B.A(0; $\frac{1}{2}$),B(0; $\frac{-1}{2}$) C.A(0;1),B(0;-1) D.A(0;$\frac{3}{4}$),B(0; $\frac{-3}{4}$ ) 2. trên đồ thị y bằng $\frac{1}{x-1}$ có điểm M sao cho tiếp tuyến tại đó cùng với các trục tọa độ tạo thành 1 tam giác có diện tích bằng 2. tọa độ M là A.(4;$\frac{1}{3}$) B.( $\frac{3}{4}$,-4) C.( $\frac{-3}{4}$; $\frac{-4}{7}$) D.(2;1)

Lời giải 1 :

        

image
image

Thảo luận

-- Em chào anh Cường ạ !
-- Anh ơi ! em có câu này anh vào làm giúp em với anh nhá ! https://hoidap247.com/cau-hoi/1822742
-- A Cường ơi, e chưa hiểu chỗ pt y = 0 lắm, ở cuối trang đầu tiên ấy a
-- Thay $y=0$ vào để tìm hoành độ giao tiếp tuyến với Ox ấy
-- https://hoidap247.com/cau-hoi/1824045 giúp e câu này nữa a à

Bạn có biết?

Toán học là môn khoa học nghiên cứu về các số, cấu trúc, không gian và các phép biến đổi. Nói một cách khác, người ta cho rằng đó là môn học về "hình và số". Theo quan điểm chính thống neonics, nó là môn học nghiên cứu về các cấu trúc trừu tượng định nghĩa từ các tiên đề, bằng cách sử dụng luận lý học (lôgic) và ký hiệu toán học. Các quan điểm khác của nó được miêu tả trong triết học toán. Do khả năng ứng dụng rộng rãi trong nhiều khoa học, toán học được mệnh danh là "ngôn ngữ của vũ trụ".

Nguồn : Wikipedia - Bách khoa toàn thư

Tâm sự 11

Lớp 11 - Năm thứ hai ở cấp trung học phổ thông, gần đến năm cuối cấp nên học tập là nhiệm vụ quan trọng nhất. Nghe nhiều đến định hướng sau này rồi học đại học. Ôi nhiều lúc thật là sợ, hoang mang nhưng các em hãy tự tin và tìm dần điều mà mình muốn là trong tương lai nhé!

Nguồn : ADMIN :))

Liên hệ hợp tác hoặc quảng cáo: gmail

Điều khoản dịch vụ

Copyright © 2021 HOCTAPSGK