Trang chủ Vật Lý Lớp 9 2) Cho mạch điện như hình vẽ. Biết R =...

2) Cho mạch điện như hình vẽ. Biết R = Ry= Ry=3(Q)R=1(2) Ugs = 18 (V). Văn kể có điện trở vô cùng lớn a) Tìm số chỉ của vốn kế. b) Thay vẫn kể bằng Ampe kế

Câu hỏi :

giúp mik ạ!!các chuyên gia giúp vs

image

Lời giải 1 :

Đáp án:

a) \(12V\)

b) \(7,2A\)

Giải thích các bước giải:

a) Mạch gồm: (R1 // (R2 nt R3)) nt R4

Ta có:

\(\begin{array}{l}
{R_{23}} = {R_2} + {R_3} = 3 + 3 = 6\Omega \\
{R_{123}} = \dfrac{{{R_1}{R_{23}}}}{{{R_1} + {R_{23}}}} = \dfrac{{3.6}}{{3 + 6}} = 2\Omega \\
R = {R_{123}} + {R_4} = 2 + 1 = 3\Omega \\
I = \dfrac{U}{R} = \dfrac{{18}}{3} = 6A\\
{I_2} = \dfrac{{{R_1}}}{{{R_1} + {R_{23}}}}.I = \dfrac{3}{{3 + 6}}.6 = 2A\\
{U_V} = U - {U_2} = U - {I_2}.{R_2} = 18 - 2.3 = 12V
\end{array}\)

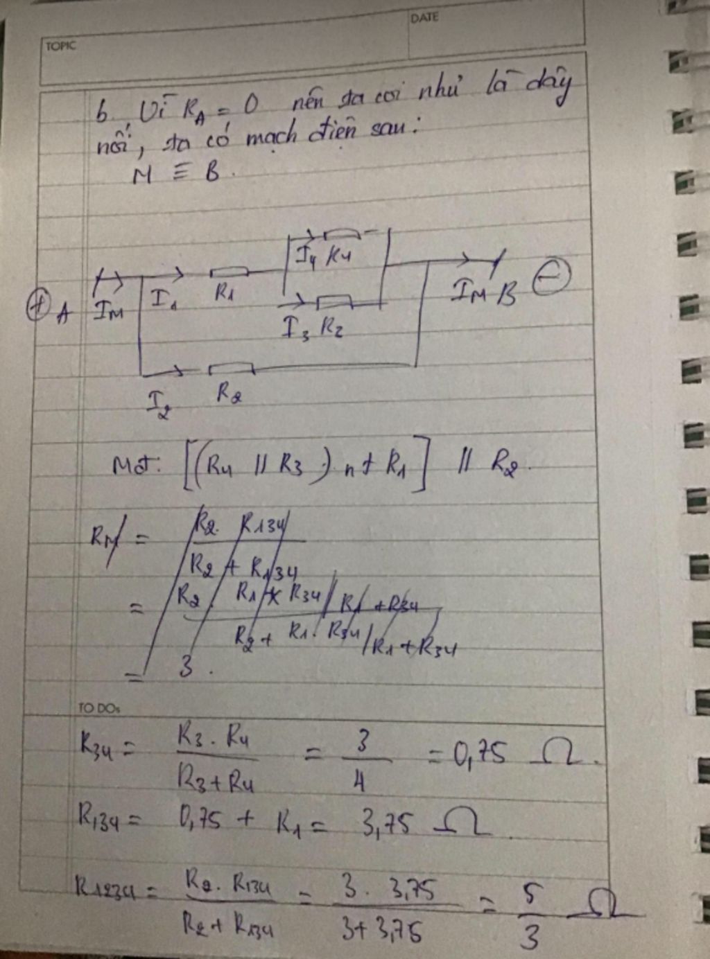
b) Mạch gồm: R2 // (R1 nt (R3 // R4))

Ta có:

\(\begin{array}{l}
{R_{34}} = \dfrac{{{R_3}{R_4}}}{{{R_3} + {R_4}}} = \dfrac{{3.1}}{{3 + 1}} = 0,75\Omega \\
{R_{134}} = {R_1} + {R_{34}} = 3 + 0,75 = 3,75\Omega \\
{I_{134}} = \dfrac{U}{{{R_{134}}}} = \dfrac{{18}}{{3,75}} = 4,8A\\
{I_3} = \dfrac{{{R_4}}}{{{R_3} + {R_4}}}.{I_{134}} = \dfrac{1}{{1 + 3}}.4,8 = 1,2A\\
{I_2} = \dfrac{U}{{{R_2}}} = \dfrac{{18}}{3} = 6A\\
{I_A} = {I_2} + {I_3} = 6 + 1,2 = 7,2A
\end{array}\)

Thảo luận

Lời giải 2 :

Đáp Án

a, Uv= 12 (V)

b, IA = 7,2 (A)

image
image
image
image

Bạn có biết?

Vật lý học (tiếng Anh:physics, từ tiếng Hi Lạp cổ: φύσις có nghĩa là kiến thức về tự nhiên) là một môn khoa học tự nhiên tập trung vào sự nghiên cứu vật chất và chuyển động của nó trong không gian và thời gian, cùng với những khái niệm liên quan như năng lượng và lực.Vật lí học là một trong những bộ môn khoa học lâu đời nhất, với mục đích tìm hiểu sự vận động của vũ trụ.

Nguồn : Wikipedia - Bách khoa toàn thư

Tâm sự 9

Lớp 9 - Là năm cuối ở cấp trung học cơ sở, sắp phải bước vào một kì thi căng thẳng và sắp chia tay bạn bè, thầy cô và cả kì vọng của phụ huynh ngày càng lớn mang tên "Lên cấp 3". Thật là áp lực nhưng các em hãy cứ tự tin vào bản thân là sẻ vượt qua nhé!

Nguồn : ADMIN :))

Liên hệ hợp tác hoặc quảng cáo: gmail

Điều khoản dịch vụ

Copyright © 2021 HOCTAPSGK