Trang chủ Hóa Học Lớp 8 Cho hỗn hợp khí X gồm 22 gam khí CO2,...

Cho hỗn hợp khí X gồm 22 gam khí CO2, 12,8 gam khí SO2 và 15,4 gam khí N2O. Hãy xác định tỉ khối của hỗn hợp X so với khí N2 - câu hỏi 1784904

Câu hỏi :

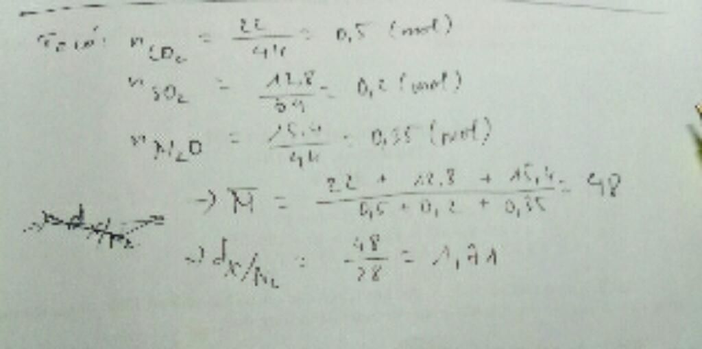
Cho hỗn hợp khí X gồm 22 gam khí CO2, 12,8 gam khí SO2 và 15,4 gam khí N2O. Hãy xác định tỉ khối của hỗn hợp X so với khí N2

Lời giải 1 :

Ta có : M X = (mCO2+mSO2+mN2O)/(n CO2+n SO2+n N2O)

                   = (22+12,8+15,4)/(0,5+0,2+0,625)

                   = 50,2/1,05

                   = 47,81

=> dX/N2 = 47,81/28 = 1,7

                       Hihi

Thảo luận

Lời giải 2 :

Ktra lại nhé
image

Bạn có biết?

Hóa học, một nhánh của khoa học tự nhiên, là ngành nghiên cứu về thành phần, cấu trúc, tính chất, và sự thay đổi của vật chất.Hóa học nói về các nguyên tố, hợp chất, nguyên tử, phân tử, và các phản ứng hóa học xảy ra giữa những thành phần đó.Hóa học đôi khi được gọi là "khoa học trung tâm" vì nó là cầu nối các ngành khoa học tự nhiên khác như vật lý học, địa chất học và sinh học.

Nguồn : Wikipedia - Bách khoa toàn thư

Tâm sự 8

Lớp 8 - Năm thứ ba ở cấp trung học cơ sở, học tập bắt đầu nặng dần, sang năm lại là năm cuối cấp áp lực lớn dần nhưng các em vẫn phải chú ý sức khỏe nhé!

Nguồn : ADMIN :))

Liên hệ hợp tác hoặc quảng cáo: gmail

Điều khoản dịch vụ

Copyright © 2021 HOCTAPSGK