Trang chủ Hóa Học Lớp 8 1. Cho 2,44 gam hỗn hợp A gồm 3 kim...

1. Cho 2,44 gam hỗn hợp A gồm 3 kim loại Mg, Fe và Cu (ở dạng bột) vào dung dịch loãng có chứa 0,09 mol HCl. Sau khi phản ứng xảy ra hoàn toàn, thấy thoát

Câu hỏi :

Giúp mình với.......

image

Lời giải 1 :

Em tham khảo nha :

\(\begin{array}{l}
a)\\
Mg + 2HCl \to MgC{l_2} + {H_2}\\
Fe + 2HCl \to FeC{l_2} + {H_2}\\
b)\\
\text{Giả sử toàn bộ hỗn hợp A là Fe}\\
{n_{Fe}} = \dfrac{{2,44}}{{56}} = 0,044mol\\
Fe + 2HCl \to FeC{l_2} + {H_2}\\
\dfrac{{0,044}}{1} < \dfrac{{0,09}}{2} \Rightarrow\text{HCl dư} \\
D:\text{Đồng}(Cu)\\
c)\\
{m_{Cu}} = 1,28g\\
{n_{{H_2}}} = \dfrac{V}{{22,4}} = \dfrac{{0,784}}{{22,4}} = 0,035mol\\
hh:Mg(a\,mol),Fe(b\,mol)\\
\left\{ \begin{array}{l}
a + b = 0,035\\
24a + 56b = 1,16
\end{array} \right.\\
 \Rightarrow a = 0,025;b = 0,01\\
{m_{Mg}} = 0,025 \times 24 = 0,6g\\
\% Cu = \dfrac{{1,28}}{{2,44}} \times 100\%  = 52,5\% \\
\% Mg = \dfrac{{0,6}}{{2,44}} = 24,6\% \\
\% Fe = 100 - 52,5 - 24,6 = 22,9\% 
\end{array}\)

 

Thảo luận

-- https://hoidap247.com/cau-hoi/1777728 https://hoidap247.com/cau-hoi/1777778 https://hoidap247.com/cau-hoi/1777855
-- giúp với ạ, cảm ơn nhiều

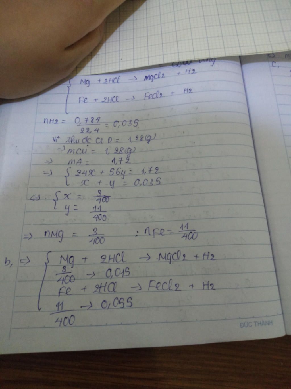
Lời giải 2 :

Đáp án:

 

Giải thích các bước giải:

 

image
image

Bạn có biết?

Hóa học, một nhánh của khoa học tự nhiên, là ngành nghiên cứu về thành phần, cấu trúc, tính chất, và sự thay đổi của vật chất.Hóa học nói về các nguyên tố, hợp chất, nguyên tử, phân tử, và các phản ứng hóa học xảy ra giữa những thành phần đó.Hóa học đôi khi được gọi là "khoa học trung tâm" vì nó là cầu nối các ngành khoa học tự nhiên khác như vật lý học, địa chất học và sinh học.

Nguồn : Wikipedia - Bách khoa toàn thư

Tâm sự 8

Lớp 8 - Năm thứ ba ở cấp trung học cơ sở, học tập bắt đầu nặng dần, sang năm lại là năm cuối cấp áp lực lớn dần nhưng các em vẫn phải chú ý sức khỏe nhé!

Nguồn : ADMIN :))

Liên hệ hợp tác hoặc quảng cáo: gmail

Điều khoản dịch vụ

Copyright © 2021 HOCTAPSGK