Trang chủ Toán Học Lớp 7 b) Câu 4: (3,5 điểm) Cho góc nhọn xOy có...

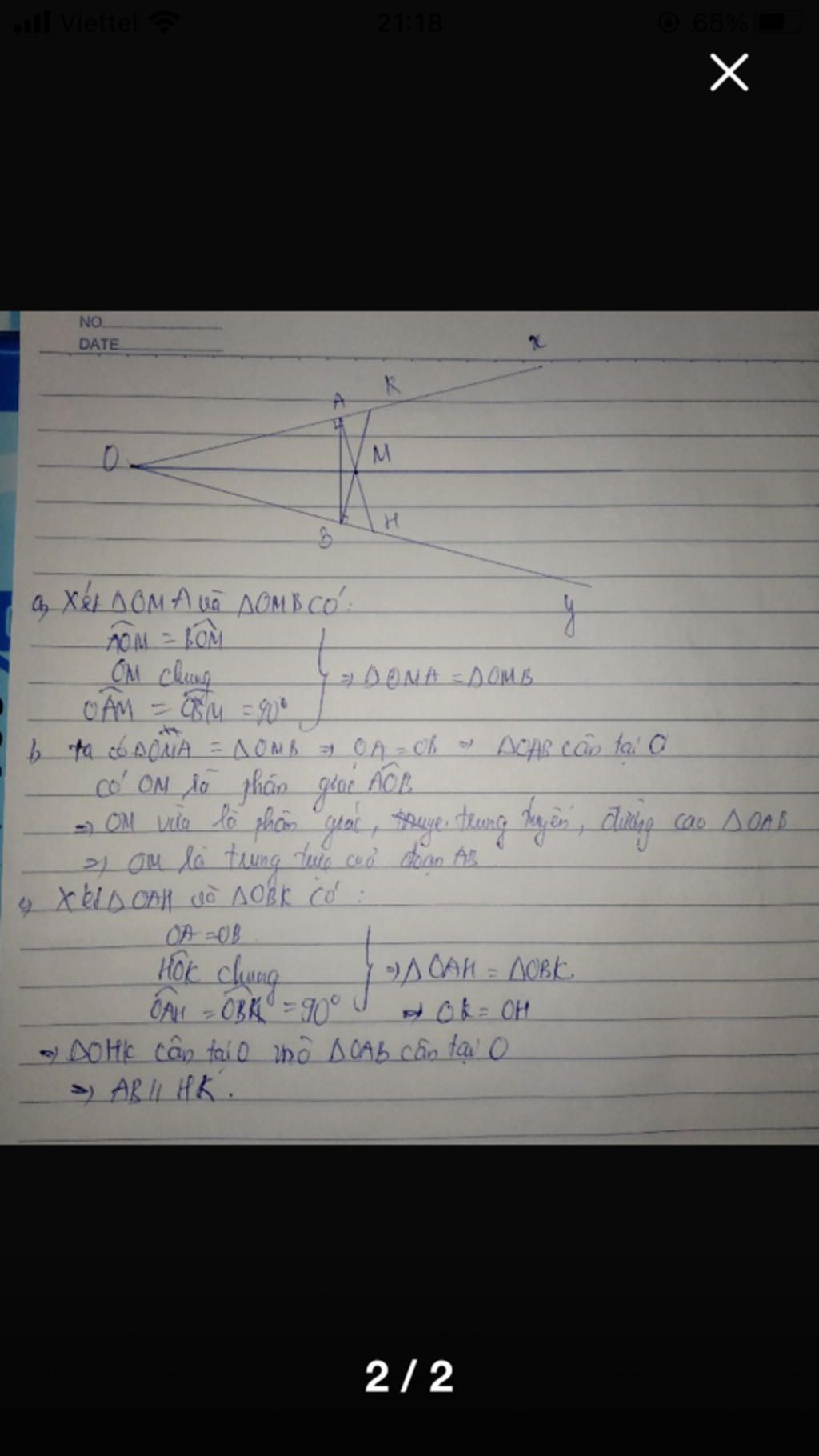
b) Câu 4: (3,5 điểm) Cho góc nhọn xOy có Ot là tia phân giác. Trên tia Ot lấy điểm M, kẻ MA1OX (A€OX); MB1OY (BeOy). a) Chứng minh: AOMA = AOMB; b) Chứng m

Câu hỏi :

giúp mik vs ạ cảm mơn trước ạ

image

Lời giải 1 :

Đây nhé
image

Thảo luận

-- cảm mơn ạ
-- cho 1 ctlhn luôn

Lời giải 2 :

Đáp án:

 

Giải thích các bước giải:hình bn tự vẽ nha

a) xét tg OMA và tg OMB có:

OM chung

Góc OAM = Góc OBM = 90 độ (gt)

AOM=BOM ( gt )

suy ra tg OMA = tg OMB ( ch-gn) (1)

b)từ (1) suy ra MA = MB ( 2 cạnh tương ứng ) (2)

và OA=OB( 2 cạnh tương ứng )

gọi giao điểm của AB và OM là D.

xét tg ODA và tg ODB có:

OD chung

AO=BO(cmt)

AOD = BOD = 90 độ (gt)

suy ra AD=BD (.............) (3)

từ (2) và (3) suy ra điều phải chứng minh

 

Bạn có biết?

Toán học là môn khoa học nghiên cứu về các số, cấu trúc, không gian và các phép biến đổi. Nói một cách khác, người ta cho rằng đó là môn học về "hình và số". Theo quan điểm chính thống neonics, nó là môn học nghiên cứu về các cấu trúc trừu tượng định nghĩa từ các tiên đề, bằng cách sử dụng luận lý học (lôgic) và ký hiệu toán học. Các quan điểm khác của nó được miêu tả trong triết học toán. Do khả năng ứng dụng rộng rãi trong nhiều khoa học, toán học được mệnh danh là "ngôn ngữ của vũ trụ".

Nguồn : Wikipedia - Bách khoa toàn thư

Tâm sự 7

Lớp 7 - Năm thứ hai ở cấp trung học cơ sở, một cuồng quay mới lại đến vẫn bước tiếp trên đường đời học sinh. Học tập vẫn là nhiệm vụ chính!

Nguồn : ADMIN :))

Liên hệ hợp tác hoặc quảng cáo: gmail

Điều khoản dịch vụ

Copyright © 2021 HOCTAPSGK