Trang chủ Toán Học Lớp 6 N -(1- -2011 2012) b B = Bài 2 (4.0...

N -(1- -2011 2012) b B = Bài 2 (4.0 điểm): a' Tim x. y nguyên hiết : 2x (3y - 2) + (3y - 2) = -55 b Ching minh răng : +... + (2n) 6 4

Câu hỏi :

Giúp mik với Khó quá

image

Lời giải 1 :

Đáp án:

 mk gửi bạn nhé , chúc bạn học tốt 

cho mik ctlhn + 5 sao + tim nếu bạn thấy hay nhé

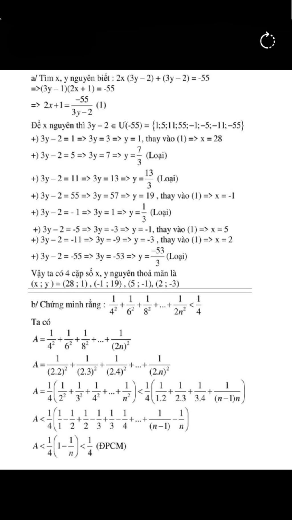
bài 2 do mik làm trên app cho đỡ mỏi tay nên hơi khác sory ạ 

 

image
image

Thảo luận

-- mik bt bạn lấy ở đâu mak vì m là hsg toán mấy cái đè ày mik lm quen r
-- à vậy hả bạn
-- vậy nếu h mik chuyển bài b thành như bài 2 thì sao nhỉ

Lời giải 2 :

Đáp án:

 

Giải thích các bước giải:
2x(3y-2)+(3y-2)=-55
=2x(3y-2)+1(3y-2)=-55
=(2x+1)(3y-2)=-55
ta có:-55=1.(-55)=(-11).5
vì 2x+1 là số lẻ nên 2x+1 chỉ nhận những giá trị lẻ
ta có bảng sau:
2x+1    1   -55   11   -5   5   -11
3y-2   -55     1   -5    11   -11   5
x          0    -28   5     -3     2     -5
y          Ф      1     -1    Ф     -3    Ф
Vậy (x,y)=(-28,1);(5,-1);(2,-3)
tick vs vote cho mình đi bạn

 

Bạn có biết?

Toán học là môn khoa học nghiên cứu về các số, cấu trúc, không gian và các phép biến đổi. Nói một cách khác, người ta cho rằng đó là môn học về "hình và số". Theo quan điểm chính thống neonics, nó là môn học nghiên cứu về các cấu trúc trừu tượng định nghĩa từ các tiên đề, bằng cách sử dụng luận lý học (lôgic) và ký hiệu toán học. Các quan điểm khác của nó được miêu tả trong triết học toán. Do khả năng ứng dụng rộng rãi trong nhiều khoa học, toán học được mệnh danh là "ngôn ngữ của vũ trụ".

Nguồn : Wikipedia - Bách khoa toàn thư

Tâm sự 6

Lớp 6 - Là năm đầu tiên của cấp trung học cơ sở. Được sống lại những khỉ niệm như ngày nào còn lần đầu đến lớp 1, được quen bạn mới, ngôi trường mới, một tương lai mới!

Nguồn : ADMIN :))

Liên hệ hợp tác hoặc quảng cáo: gmail

Điều khoản dịch vụ

Copyright © 2021 HOCTAPSGK