Trang chủ Hóa Học Lớp 8 Nung nóng 43,3 g hh gồm KMnO4 và KClO3. Sau...

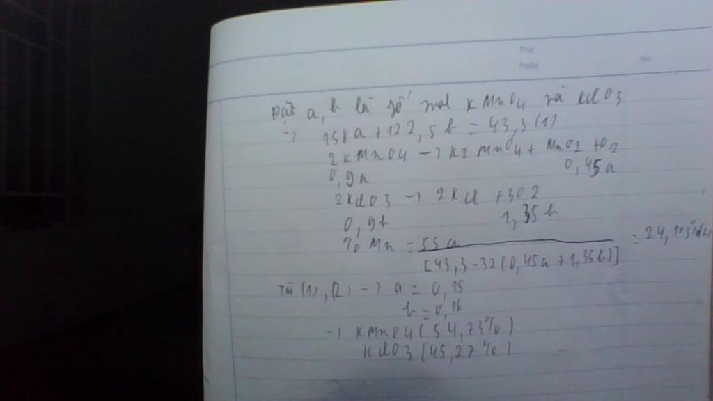
Nung nóng 43,3 g hh gồm KMnO4 và KClO3. Sau 1 thời gian thu đc chất khí X và chất rắn Y. Nguyên tổ Mn chiếm 24,103% khối lượng của chất rắn Y. tính khối lượng

Câu hỏi :

Nung nóng 43,3 g hh gồm KMnO4 và KClO3. Sau 1 thời gian thu đc chất khí X và chất rắn Y. Nguyên tổ Mn chiếm 24,103% khối lượng của chất rắn Y. tính khối lượng của KMnO4 và KClO3 ban đầu biết Hiệu suất phản ứng đều đạt 90%. Tiện thể các bạn chỉ cho minh cách viết kí hiệu toán học được ko? Giúp mk zvới

Lời giải 1 :

Đáp án: cho mk xin ctlhn nha bạn

 

Giải thích các bước giải:

 

image

Thảo luận

-- bạn có thể chụp hình rõ hơn giúp mk được không
-- ok
-- ctlhn là gì vậy?
-- câu trả lời hay nhất
-- hồi ai trả lời thì cho mk ctlhn nha bạn
-- mk xin đó
-- haha, thực ra là mk mới tập dùng Hoidap247 hôm nay thôi nên không bt cho bạn ctlhn ở đâu. bạn chỉ mk được ko
-- Chỗ tính thành phần % của Mn mk ko hiểu lắm

Bạn có biết?

Hóa học, một nhánh của khoa học tự nhiên, là ngành nghiên cứu về thành phần, cấu trúc, tính chất, và sự thay đổi của vật chất.Hóa học nói về các nguyên tố, hợp chất, nguyên tử, phân tử, và các phản ứng hóa học xảy ra giữa những thành phần đó.Hóa học đôi khi được gọi là "khoa học trung tâm" vì nó là cầu nối các ngành khoa học tự nhiên khác như vật lý học, địa chất học và sinh học.

Nguồn : Wikipedia - Bách khoa toàn thư

Tâm sự 8

Lớp 8 - Năm thứ ba ở cấp trung học cơ sở, học tập bắt đầu nặng dần, sang năm lại là năm cuối cấp áp lực lớn dần nhưng các em vẫn phải chú ý sức khỏe nhé!

Nguồn : ADMIN :))

Liên hệ hợp tác hoặc quảng cáo: gmail

Điều khoản dịch vụ

Copyright © 2021 HOCTAPSGK