Trang chủ Toán Học Lớp 7 Bai 6 AG)=32"-3/4x+ 222-3. 1 215 AC Tinh a) Alxl+b...

Bai 6 AG)=32"-3/4x+ 222-3. 1 215 AC Tinh a) Alxl+b G) b) ACx) 11

Câu hỏi :

Mn giúp mik bài này với ạ. Mik cảm ơn ^^

image

Lời giải 1 :

Đáp án:

 

Giải thích các bước giải:

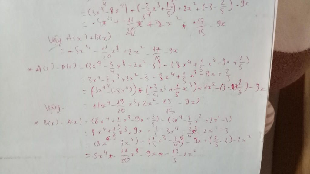
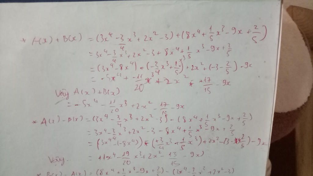
 $A(x) + B(x)=3x^4-\dfrac{3}{4}x^3+2x^2-3+8x^4+\dfrac{1}{5}x^3-9x+\dfrac{1}{2}$

$=3x^4-\dfrac{3}{4}x^3+2x^2-3+8x^4+\dfrac{1}{5}x^3-9x+\frac{1}{2}$

$=11x^4-\frac{11}{20}x^3+2x^2-9x+\dfrac{1}{2}-3$

$=-\dfrac{5}{2}-\dfrac{11x^3}{20}+11x^4+2x^2-9x$

$=11x^4-d\frac{11}{20}x^3+2x^2-9x-\dfrac{5}{2}$

----------------------------------------------------------------

$A(x)-B(x)=3x^4-\dfrac{3}{4}x^3+2x^2-3-8x^4+\dfrac{1}{5}x^3-9x+\dfrac{1}{2}$

$=3x^4-8x^4-\dfrac{3}{4}x^3+\dfrac{1}{5}x^3+2x^2-9x+\dfrac{1}{2}-3$

$=-5x^4-\dfrac{11}{20}x^3+2x^2-9x+\frac{1}{2}-3$

$=-\dfrac{5}{2}-\dfrac{11}{20}x^3-5x^4+2x^2-9x$

----------------------------------------------------------------

$B(x)-A(x)=8x^4+\dfrac{1}{5}x^3-9x+\dfrac{1}{2}-3x^4-\dfrac{3}{4}x^3+2x^2-3$

$=8x^4-3x^4-\dfrac{11}{20}x^3+2x^2-9x+\dfrac{1}{2}-3$

$=5x^4-\dfrac{11}{20}x^3+2x^2-9x+\dfrac{1}{2}-3$

$=5x^4-\frac{11}{20}x^3+2x^2-9x-\dfrac{5}{2}$

Thảo luận

-- Ờ gì ? THI gì trong tháng mà 3 lần thi ?
-- thi HSG , Casio và thi phân lại lớp
-- Có cả CAsio lớp 8 à ._> Đội tuyển gì ? Sao phải phân lại ?
-- sao lại không có ._? tui có 1 tập 12 chuyên đề nhưng chỉ học 7 thôi, một số còn lại như xác suất thống kê, tính hình học ko gian,... lớp trên mới thi
-- phân lại là cả trường thi, ai có năng lực thì đưa vào lớp chọn, ai yếu thì đẩy lớp
-- Nhiều lần thấy Vinacal giải nhanh hơn Casio ._.
-- Bên Dicamo có hoidap như này :) Quà là Casio 580 @@ Qua chơi đây
-- ò đi đi -_-

Lời giải 2 :

Bạn tham khảo 

Nếu đc mk $=>$ xin hay nhất 

image
image

Bạn có biết?

Toán học là môn khoa học nghiên cứu về các số, cấu trúc, không gian và các phép biến đổi. Nói một cách khác, người ta cho rằng đó là môn học về "hình và số". Theo quan điểm chính thống neonics, nó là môn học nghiên cứu về các cấu trúc trừu tượng định nghĩa từ các tiên đề, bằng cách sử dụng luận lý học (lôgic) và ký hiệu toán học. Các quan điểm khác của nó được miêu tả trong triết học toán. Do khả năng ứng dụng rộng rãi trong nhiều khoa học, toán học được mệnh danh là "ngôn ngữ của vũ trụ".

Nguồn : Wikipedia - Bách khoa toàn thư

Tâm sự 7

Lớp 7 - Năm thứ hai ở cấp trung học cơ sở, một cuồng quay mới lại đến vẫn bước tiếp trên đường đời học sinh. Học tập vẫn là nhiệm vụ chính!

Nguồn : ADMIN :))

Liên hệ hợp tác hoặc quảng cáo: gmail

Điều khoản dịch vụ

Copyright © 2021 HOCTAPSGK