Trang chủ Toán Học Lớp 8 Chứng minh rằng: giá trị của các biểu thức sau...

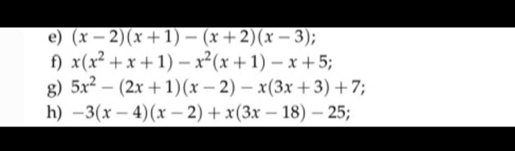
Chứng minh rằng: giá trị của các biểu thức sau không phụ thuộc vào giá trị của biến x, y.e) (x-2)(x+1) - (x+2)(x − 3); x(x²+x+1)-x²(x+1)-x+5; (2x+1)(x-2)-x(3x+

Câu hỏi :

Chứng minh rằng: giá trị của các biểu thức sau không phụ thuộc vào giá trị của biến x, y.

image

Lời giải 1 :

`\color{red}{\text{e)}}`

`(x-2)(x+1)-(x+2)(x-3)`

`=` `x.x+x.1-2.x-2.1-[x.x+x.(-3)+2.x+2.(-3)]`

`=` `x^2+x-2x-2-(x^2-3x+2x-6)`

`=` `x^2-x-2-x^2+x+6`

`=` `4`

Vậy giá trị của biếu thức trên không phụ thuộc vào giá trị của biến `x`

`\color{red}{\text{f)}}`

`x(x^2+x+1)-x^2(x+1)-x+5`

`=` `x^3+x^2+x-x^3-x^2-x+5`

`=` `(x^3-x^3)+(x^2-x^2)+(x-x)+5`

`=` `5`

Vậy giá trị của biếu thức trên không phụ thuộc vào giá trị của biến `x`

`\color{red}{\text{g)}}`

`5x^2-(2x+1)(x-2)-x.(3x+3)+7`

`=` `5x^2-[2x.x+2x.(-2)+1.x+1.(-2)]-3x^2-3x+7`

`=` `5x^2-(2x^2-4x+x-2)-3x^2-3x+7`

`=` `2x^2-2x^2+4x-x+2-3x+7`

`=` `(2x^2-2x^2)+(4x-x-3x)+(2+7)`

`=` `9`

Vậy giá trị của biếu thức trên không phụ thuộc vào giá trị của biến `x`

`\color{red}{\text{h)}}`

`-3(x-4)(x-2)+x(3x-18)-25`

`=` `-3(x^2-2x-4x+8)+3x^2-18x-25`

`=` `-3x^2+6x+12x-24+3x^2-18x-25`

`=` `(-3x^2+3x^2)+(6x+12x-18x)+(-24-25)`

`=` `-49`

Vậy giá trị của biếu thức trên không phụ thuộc vào giá trị của biến `x`

Thảo luận

Lời giải 2 :

#AnyaForger

`e) (x-2)(x+1) - (x+2)(x-3)`

`=  (x^2 - 2x + x - 2) - (x^2 + 2x - 3x - 6)`

`= x^2 - 2x + x - 2 - x^2 - 2x + 3x + 6`

`= (x^2 - x^2) + (x + 3x - 2x - 2x) + (6 - 2)`

`= 0 + 0 + 4`

`= 4`

Vậy biểu thức trên không phụ thuộc vào giá trị của biến.

`f) x(x^2 + x + 1) - x^2 (x + 1) - x + 5`

`= (x^3 + x^2 + x) - (x^3 + x^2) - x + 5`

`= x^3 + x^2 + x - x^3 - x^2 - x + 5`

`= (x^3 - x^3) + (x^2 - x^2) + (x - x) + 5`

`= 0+0+0+5`

`= 5`

Vậy biểu thức trên không phụ thuộc vào giá trị của biến.

`g) 5x^2 - (2x+1)(x-2) - x(3x+3) + 7`

`= 5x^2 - (2x^2 + x - 4x  - 2) - (3x^2 + 3x) + 7`

`= 5x^2 - 2x^2 - x +4x  + 2 - 3x^2 - 3x + 7`

`= (5x^2 - 2x^2 - 3x^2) + (4x - x - 3x) + (2 + 7)`

`= 0 + 0 + 9`

`= 9`

Vậy biểu thức trên không phụ thuộc vào giá trị của biến.

`h) -3(x-4)(x-2) + x(3x - 18) - 25`

`= (-3x + 12)(x-2) + 3x^2 - 18x - 25`

`= -3x^2 + 12x + 6x - 24 + 3x^2 - 18x - 25`

`= (3x^2 - 3x^2) + (12x+6x-18x) - (24 + 25)`

`= 0 + 0 - 49`

`= -49`

Vậy biểu thức trên không phụ thuộc vào giá trị của biến.

--------------------------------------

* Giải thích các bước giải: 

- Khai triển đề bài, phá toàn bộ ngoặc đi, đổi dấu nếu có dầu trừ trước ngoặc

- Gom các đơn thức đồng dạng vào 1 nhóm và tính

- Ở dạng đề này, kết quả luôn luôn là một số không liên quan gì đến ẩn

(Chúc bạn học tốt :))

Bạn có biết?

Toán học là môn khoa học nghiên cứu về các số, cấu trúc, không gian và các phép biến đổi. Nói một cách khác, người ta cho rằng đó là môn học về "hình và số". Theo quan điểm chính thống neonics, nó là môn học nghiên cứu về các cấu trúc trừu tượng định nghĩa từ các tiên đề, bằng cách sử dụng luận lý học (lôgic) và ký hiệu toán học. Các quan điểm khác của nó được miêu tả trong triết học toán. Do khả năng ứng dụng rộng rãi trong nhiều khoa học, toán học được mệnh danh là "ngôn ngữ của vũ trụ".

Nguồn : Wikipedia - Bách khoa toàn thư

Tâm sự 8

Lớp 8 - Năm thứ ba ở cấp trung học cơ sở, học tập bắt đầu nặng dần, sang năm lại là năm cuối cấp áp lực lớn dần nhưng các em vẫn phải chú ý sức khỏe nhé!

Nguồn : ADMIN :))

Liên hệ hợp tác hoặc quảng cáo: gmail

Điều khoản dịch vụ

Copyright © 2021 HOCTAPSGK