Trang chủ Vật Lý Lớp 10 . Viết phương trình trạng thái của khí lí tưởng....

. Viết phương trình trạng thái của khí lí tưởng. Nêu rõ các đại lượng trong biểu thức. 2. Cho một lượng chất khí trong xi-lanh ở trạng thái (1) có áp suất 2 at

Câu hỏi :

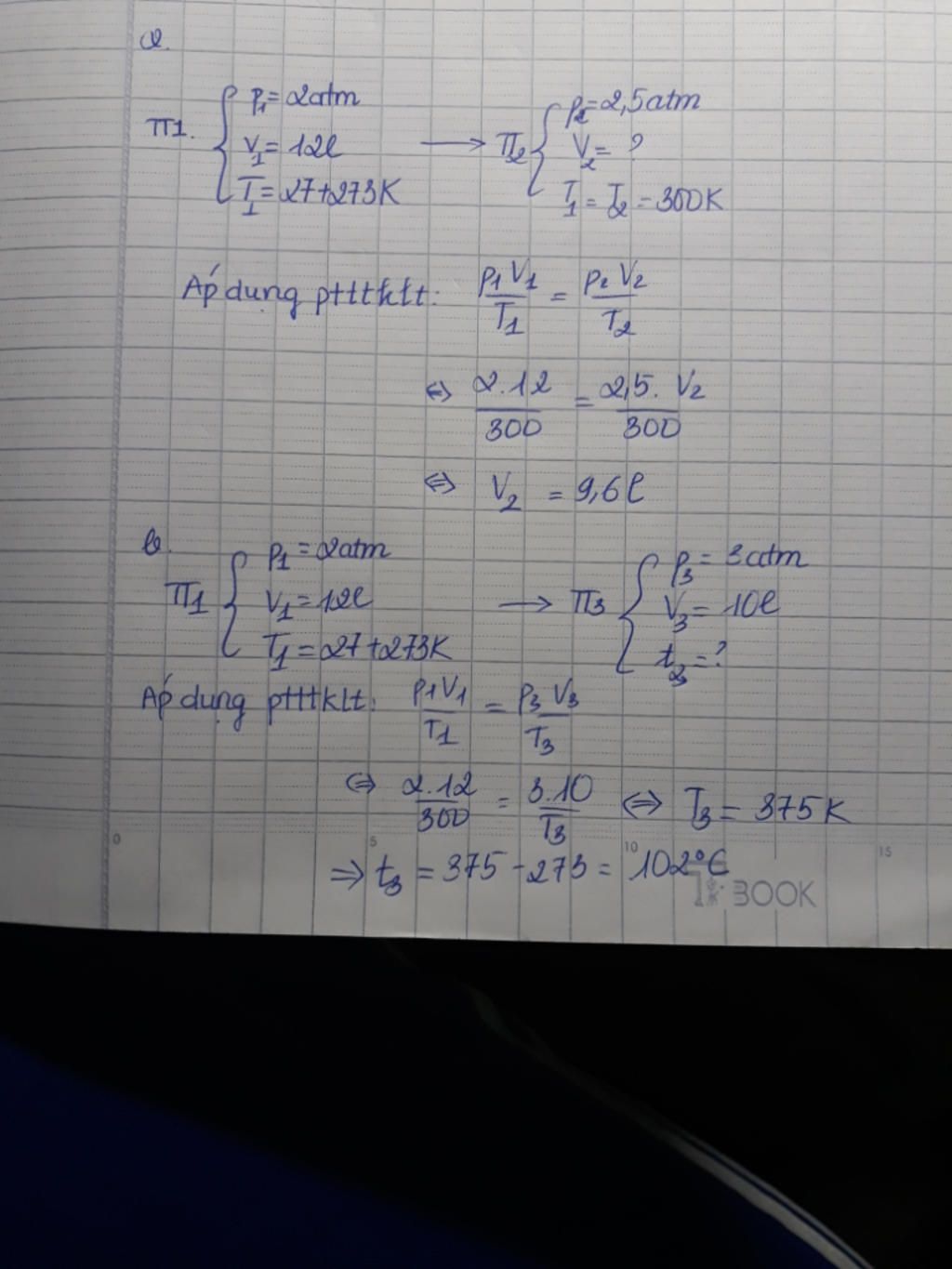
. Viết phương trình trạng thái của khí lí tưởng. Nêu rõ các đại lượng trong biểu thức. 2. Cho một lượng chất khí trong xi-lanh ở trạng thái (1) có áp suất 2 atm,nhiệt độ 27 C,thể tích12 lít a.Chất chuyển sang trạng thái (2) bằng cách nén đẳng nhiệt khí thì áp suất đạt 2,5 atm. Tim thể tích của khí nén? b. Từ trạng thái (1), chất chuyển sang trạng thái (3) áp suất 3 atm, thể tích 10 lít .Vậy nhiệt độ lúc này là bao nhiêu" C.

Lời giải 1 :

 

image
image

Thảo luận

Lời giải 2 :

Đáp án:

 $\begin{align}
  & a){{V}_{2}}=9,6lit \\ 
 & b){{t}_{3}}={{102}^{0}}C \\ 
\end{align}$

Giải thích các bước giải:

 ở trạng thái (1): ${{P}_{1}}=2atm;{{T}_{1}}=300K;{{V}_{1}}=12lit$

a) sang trạng thái (2):

${{P}_{2}}=2,5atm$

từ (1) sang (2) quá trình đẳng nhiệt:

$\begin{align}
  & {{P}_{1}}.{{V}_{1}}={{P}_{2}}.{{V}_{2}} \\ 
 & \Rightarrow {{V}_{2}}=\dfrac{{{P}_{1}}.{{V}_{1}}}{{{P}_{2}}}=\dfrac{2.12}{2,5}=9,6lit \\ 
\end{align}$

b) trạng thái (3) ${{P}_{3}}=3atm;{{V}_{3}}=10lit$

từ (1) sang (3)

$\begin{align}
  & \dfrac{{{P}_{1}}{{V}_{1}}}{{{T}_{1}}}=\dfrac{{{P}_{3}}{{V}_{3}}}{{{T}_{3}}} \\ 
 & \Rightarrow {{T}_{3}}={{T}_{1}}.\dfrac{{{P}_{3}}.{{V}_{3}}}{{{P}_{1}}.{{V}_{1}}}=300.\dfrac{3.10}{2.12}=375K \\ 
 & \Rightarrow {{t}_{3}}={{102}^{0}}C \\ 
\end{align}$

Bạn có biết?

Vật lý học (tiếng Anh:physics, từ tiếng Hi Lạp cổ: φύσις có nghĩa là kiến thức về tự nhiên) là một môn khoa học tự nhiên tập trung vào sự nghiên cứu vật chất và chuyển động của nó trong không gian và thời gian, cùng với những khái niệm liên quan như năng lượng và lực.Vật lí học là một trong những bộ môn khoa học lâu đời nhất, với mục đích tìm hiểu sự vận động của vũ trụ.

Nguồn : Wikipedia - Bách khoa toàn thư

Tâm sự 10

Lớp 10 - Năm thứ nhất ở cấp trung học phổ thông, năm đầu tiên nên có nhiều bạn bè mới đến từ những nơi xa hơn vì ngôi trường mới lại mỗi lúc lại xa nhà mình hơn. Được biết bên ngoài kia là một thế giới mới to và nhiều điều thú vị, một trang mới đang chò đợi chúng ta.

Nguồn : ADMIN :))

Liên hệ hợp tác hoặc quảng cáo: gmail

Điều khoản dịch vụ

Copyright © 2021 HOCTAPSGK