Trang chủ Hóa Học Lớp 8 các anh chị giúp em vs lm đầy đủ các...

các anh chị giúp em vs lm đầy đủ các bước tóm tắ r phương trình chữ j đó lun hộ e câu hỏi 3134659 - hoctapsgk.com

Câu hỏi :

các anh chị giúp em vs lm đầy đủ các bước tóm tắ r phương trình chữ j đó lun hộ e

image

Lời giải 1 :

Đáp án:

 Cho 5 sao nhá + câu tl hay nhất

Giải thích các bước giải:

 

image
image
image

Thảo luận

-- bạn ơi tus y/c phương trình chữ nữa mà?
-- là sao ạ
-- ghi phương trình chữ chứ ko phải PTHH
-- mik tự suy ra chữ đc mà
-- với bạn thiếu phần tóm tắt rồi
-- dài lắm mik chỉ làm ra kq thôi vậy là chi tiết r

Lời giải 2 :

Đáp án+Giải thích các bước giải:

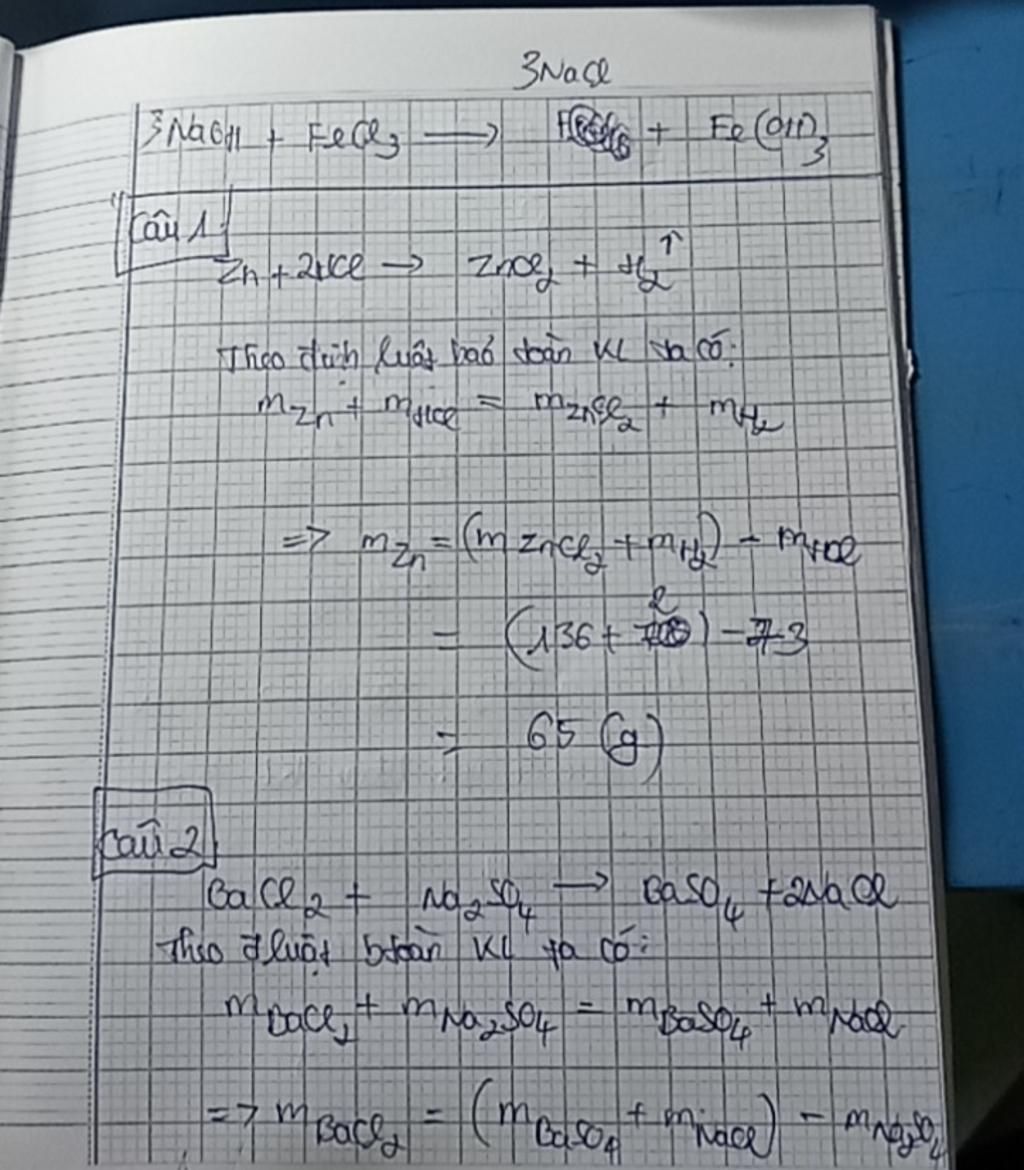
`1)`

$\text{Tóm tắt :}$ 

`m_{HCl} = 73g`

`m_{ZnCl_2} = 136g`

`m_{H_2} = 2g`

_______________________

`m_{Zn} = ?g`

Giải

$\text{Phương trình chữ :}$

$\text{Kẽm + Axit clohidric}$ `->` $\text{Kẽm clorua + khí Hiđro}$

$\text{PTHH :}$

`Zn + 2HCl -> ZnCl_2 + H_2`

$\text{Theo ĐLBTKL, ta có :}$

`m_{Zn} + m_{HCl} = m_{ZnCl_2} + m_{H_2}`

`=>` `m_{Zn} + 73 = 136 + 2`

`=>` `m_{Zn} = 138 - 73`

`=>` `m_{Zn} = 65 (gam)`

___________________________________________

`2)`

$\text{Tóm tắt :}$ 

`m_{Na_2SO_4} = 14,2g`

`m_{BaSO_4} = 23,3g`

`m_{NaCl} =11,7g`

_______________________

`m_{BaCl_2} = ?g`

Giải

$\text{Phương trình chữ :}$

$\text{Bari clorua + Natri sunfat}$ `->` $\text{Bari sunfat + Natri clorua}$

$\text{PTHH :}$

`BaCl_2 + Na_2SO_4 -> BaSO_4 + NaCl`

$\text{Theo ĐLBTKL, ta có :}$

`m_{BaCl_2} + m_{Na_2SO_4} = m_{BaSO_4} + m_{NaCl}`

`=>` `m_{BaCl_2} + 14,2 = 23,3 + 11,7`

`=>` `m_{BaCl_2} = 35 - 14,2`

`=>` `m_{BaCl_2} = 20,8 (gam)`

___________________________________________

`3)`

$\text{Tóm tắt :}$ 

`m_{O_2} = 16g`

`m_{P_2O_2} = 28,4g`

_______________________

`m_{P} = ?g`

Giải

$\text{Phương trình chữ :}$

$\text{Photpho + oxi}$ `->` $\text{đi photpho pentaoxit}$

$\text{PTHH :}$

`4P + 5O_2 -> 2P_2O_5`

$\text{Theo ĐLBTKL, ta có :}$

`m_{P} + m_{O_2} = m_{P_2O_5}`

`=>` `m_{P} + 16 = 28,4`

`=>` `m_{P} = 28,4 - 16`

`=>` `m_{P} = 12,4 (gam)`

___________________________________________

`4)`

$\text{Tóm tắt :}$ 

`m_{Ca(OH)_2} = 7,4g`

`m_{Na_2CO_3} = 10,6g`

`m_{CaCO_3} = 10g`

_______________________

`m_{NaOH} = ?g`

Giải

$\text{Phương trình chữ :}$

$\text{Canxi hiđroxit + Natri cacbonat}$ `->` $\text{Canxi cacbonat + Natri hiđroxit}$

$\text{PTHH :}$

`Ca(OH)_2 + Na_2CO_3 -> CaCO_3 + 2NaOH`

$\text{Theo ĐLBTKL, ta có :}$

`m_{Ca(OH)_2} + m_{Na_2CO_3} = m_{CaCO_3} + m_{NaOH}`

`=>` `7,4 + 10,6 = 10 + m_{NaOH}`

`=>` `m_{NaOH} = 18 - 10`

`=>` `m_{NaOH} = 8 (gam)`

___________________________________________

`5)`

$\text{Tóm tắt :}$ 

`m_{BaCl_2} = 20,8g`

`m_{BaSO_4} = 23,3g`

`m_{KCl} = 14,9g`

_______________________

`m_{K_2SO_4} = ?g`

Giải

$\text{Phương trình chữ :}$

$\text{Bari clorua + Kali sunfat}$ `->` $\text{Bari sunfat + Kali clorua}$

$\text{PTHH :}$

`BaCl_2 + K_2SO_4 -> BaSO_4 + 2KCl`

$\text{Theo ĐLBTKL, ta có :}$

`m_{BaCl_2} + m_{K_2SO_4} = m_{BaSO_4} + m_{KCl}`

`=>` `20,8 + m_{K_2SO_4} = 23,3 + 14,9`

`=>` `m_{K_2SO_4} = 38,2 - 20,8`

`=>` `m_{K_2SO_4} = 17,4 (gam)`

___________________________________________

Bạn có biết?

Hóa học, một nhánh của khoa học tự nhiên, là ngành nghiên cứu về thành phần, cấu trúc, tính chất, và sự thay đổi của vật chất.Hóa học nói về các nguyên tố, hợp chất, nguyên tử, phân tử, và các phản ứng hóa học xảy ra giữa những thành phần đó.Hóa học đôi khi được gọi là "khoa học trung tâm" vì nó là cầu nối các ngành khoa học tự nhiên khác như vật lý học, địa chất học và sinh học.

Nguồn : Wikipedia - Bách khoa toàn thư

Tâm sự 8

Lớp 8 - Năm thứ ba ở cấp trung học cơ sở, học tập bắt đầu nặng dần, sang năm lại là năm cuối cấp áp lực lớn dần nhưng các em vẫn phải chú ý sức khỏe nhé!

Nguồn : ADMIN :))

Liên hệ hợp tác hoặc quảng cáo: gmail

Điều khoản dịch vụ

Copyright © 2021 HOCTAPSGK