Trang chủ Toán Học Lớp 8 1) (x²+2)(x² - 2) = Câu 141. Điền vào chỗ...

1) (x²+2)(x² - 2) = Câu 141. Điền vào chỗ trống: */* Câu 137. Điền vào chỗ trống: 1) (3x+12y) (12y-3x) = 2)(x-3y) (x+³) -- 3)(x-1)(x+y). Câu 127. Viết các

Câu hỏi :

mn ơi hộ e cả 3 bài nha e cám ơn ạ

image

Lời giải 1 :

Câu 137

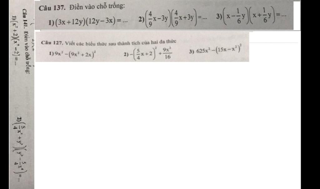
1,(3x+12y)(12y-3x)=144y²-9x²

2,($\frac{4}{9}$ x-3y)($\frac{4}{9}$ x+3y)=$\frac{16}{81}$$x^{2}$ -9$y^{2}$ 

3,(x-$\frac{1}{6}$y)(x+ $\frac{1}{6}$y)=$x^{2}$ -$\frac{1}{36}$ $y^{2}$ 

Câu 141

1,($x^{7}$ +2)($x^{7}$-2)= $x^{14}$ -4

2,($\frac{5}{4}$ $x^{4}$ +$y^{3}$ )($y^{3}$-$\frac{5}{4}$ $x^{4}$ )=$y^{6}$ -$\frac{25}{16}$ $x^{16}$ 

Câu 127

1,9x²-(9x²+2x)²=9x²-81$x^{4}$ -36x³-4x²=5x²-81$x^{4}$ -36x³=x²(5-81x²-36x)

3, tương tự câu 1 nên ta có x²(400+30-x²)

2 ,đổi dấu trừ ra sau ta có 

=$\frac{9x²}{16}$ -($\frac{5}{4}$x+2) ²

=($\frac{3x}{4}$ -$\frac{5}{4}$ x-2)($\frac{3x}{4}$+$\frac{5}{4}$x+2)

=( $\frac{-2x}{4}$-2) ( $\frac{8x}{4}$+2)

= ( $\frac{-x}{2}$-2) ( 2x+2)

Thảo luận

-- xin hay nhất ạ
-- câu 141 đâu ạ??
-- ý 3 bài 127 bạn ghi rõ cách làm ra đc k ạ?
-- à bạn chỉ cần đổi vế sau lên đầu thôi
-- =))
-- nói thì dễ nhưng mình chịu =))
-- bạn sửa đc mà

Bạn có biết?

Toán học là môn khoa học nghiên cứu về các số, cấu trúc, không gian và các phép biến đổi. Nói một cách khác, người ta cho rằng đó là môn học về "hình và số". Theo quan điểm chính thống neonics, nó là môn học nghiên cứu về các cấu trúc trừu tượng định nghĩa từ các tiên đề, bằng cách sử dụng luận lý học (lôgic) và ký hiệu toán học. Các quan điểm khác của nó được miêu tả trong triết học toán. Do khả năng ứng dụng rộng rãi trong nhiều khoa học, toán học được mệnh danh là "ngôn ngữ của vũ trụ".

Nguồn : Wikipedia - Bách khoa toàn thư

Tâm sự 8

Lớp 8 - Năm thứ ba ở cấp trung học cơ sở, học tập bắt đầu nặng dần, sang năm lại là năm cuối cấp áp lực lớn dần nhưng các em vẫn phải chú ý sức khỏe nhé!

Nguồn : ADMIN :))

Liên hệ hợp tác hoặc quảng cáo: gmail

Điều khoản dịch vụ

Copyright © 2021 HOCTAPSGK