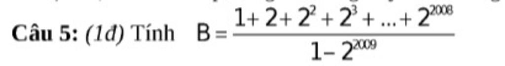
Trang chủ Toán Học Lớp 6 Câu 5: (1đ) Tính B 1+ 2+2+2+...+ 22008 1-22009

Câu 5: (1đ) Tính B 1+ 2+2+2+...+ 22008 1-22009

Câu hỏi :

giúp mk câu này với ạ

image

Lời giải 1 :

Đặt `B = A/(1 - 2^2009)`

Ta có :

`A = 1 + 2 + 2^2 + ... + 2^2008`

`=> 2A = 2 + 2^2 + 2^3 + ... + 2^2009`

`=> 2A - A = ( 2 + 2^2 + 2^3 + ... + 2^2009) - (1 + 2 + 2^2 + ... + 2^2008)`

`=> A = 2^2009 - 1`

`=> B = (2^2009 - 1)/(1 - 2^2009) = (2^2009 - 1)/(-(2^2009 - 1)) = -1`

Vậy `B = -1`

`#dtkc`

 

Thảo luận

-- Nhân `A` với `2` để có các số chung rồi trừ . Ở dưới không có `1` vì `1 . 2= 2` rồi
-- ok thanks bạn iu
-- nhưng mà cho mk hỏi sao A= 1+2 +2 mũ 2 +.........+2 mũ 2008 ở dưới 2a = 2.(2 + 2 mũ 2......+ 2 mũ 2009 sao ở trên + với 2 mũ 2008 mà ở dưới lại cộng với 2 mũ 2009
-- `2^2008 . 2 = 2^(2008 +1) = 2^2009`
-- ok ok ok ok ok ok thanks
-- mà cho mk hỏi sao lại 2C -C tự nhiên đang cộng mới cả nhân sao lạo trừ zậy mà sao kết quả thế nào lại bằng mà chỉ còn -1 mk hỏi nốt lần cuối thui
-- 3kia là 2a nhé mk nhầm
-- `2A - A` để cho hết các số chung Vì `1 < 2^2009` nên `1 - 2^2009 = -(2^2009 - 1)` `(2^2009 - 1)/(-(2^2009 - 1)) = -(2^2009 -1)/(2^2009 - 1) = -1`

Lời giải 2 :

Đây

image

Bạn có biết?

Toán học là môn khoa học nghiên cứu về các số, cấu trúc, không gian và các phép biến đổi. Nói một cách khác, người ta cho rằng đó là môn học về "hình và số". Theo quan điểm chính thống neonics, nó là môn học nghiên cứu về các cấu trúc trừu tượng định nghĩa từ các tiên đề, bằng cách sử dụng luận lý học (lôgic) và ký hiệu toán học. Các quan điểm khác của nó được miêu tả trong triết học toán. Do khả năng ứng dụng rộng rãi trong nhiều khoa học, toán học được mệnh danh là "ngôn ngữ của vũ trụ".

Nguồn : Wikipedia - Bách khoa toàn thư

Tâm sự 6

Lớp 6 - Là năm đầu tiên của cấp trung học cơ sở. Được sống lại những khỉ niệm như ngày nào còn lần đầu đến lớp 1, được quen bạn mới, ngôi trường mới, một tương lai mới!

Nguồn : ADMIN :))

Liên hệ hợp tác hoặc quảng cáo: gmail

Điều khoản dịch vụ

Copyright © 2021 HOCTAPSGK