Trang chủ Toán Học Lớp 9 Cho đường tròn (o) có đường kính AB và điểm...

Cho đường tròn (o) có đường kính AB và điểm C thuộc đường tròn đó (c $\neq$A,B) lấy điểm D thuộc dây BC(D $\neq$B,C) tia AD cắt cung nhỏ BC tại điểm E, tia AC

Câu hỏi :

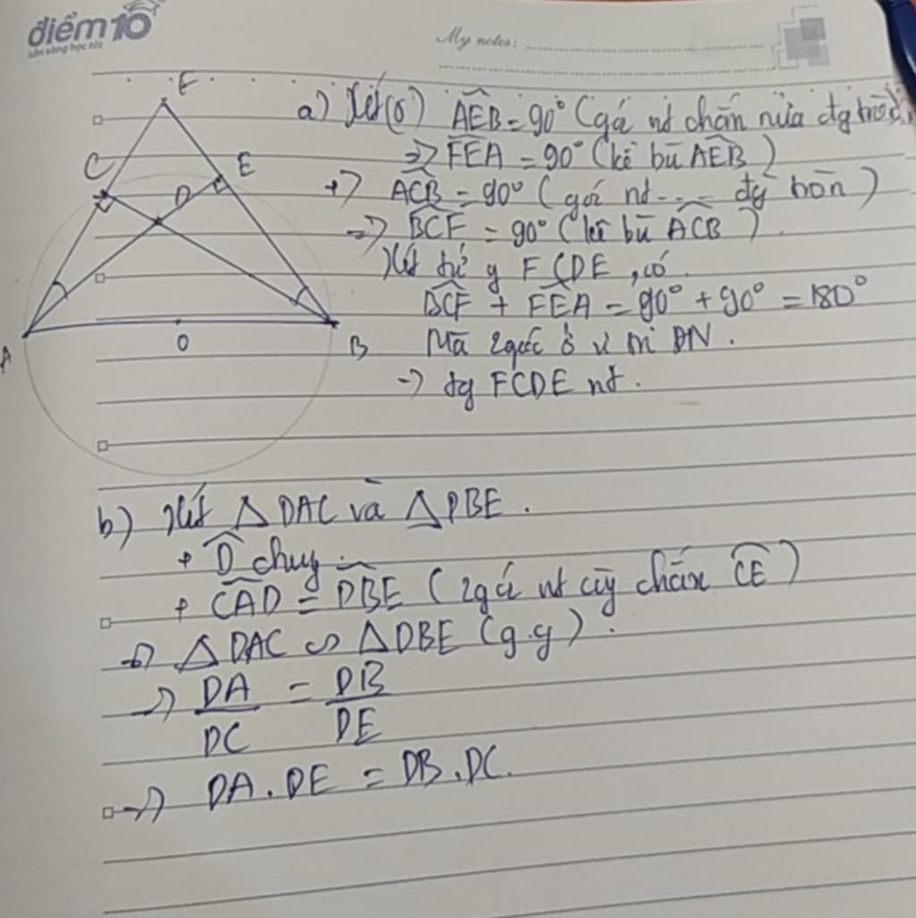
Cho đường tròn (o) có đường kính AB và điểm C thuộc đường tròn đó (c $\neq$A,B) lấy điểm D thuộc dây BC(D $\neq$B,C) tia AD cắt cung nhỏ BC tại điểm E, tia AC cắt tia BE tại điểm F a, chứng minh tứ giác FCDE nội tiếp b, chứng minh DA.DE=DB.DC

Lời giải 1 :

......

image

Thảo luận

-- Mà 2 góc ở ư m ĐN là gì thế ạ
-- 2 góc ở vị trí đối nhau nha
-- Đối nhau là sai rồi, đối đỉnh chứ?
-- đối nhau là đúng ạ cô dạy sao thì mik lm z thôi
-- À mình bị nhầm, vậy bạn phải chỉ góc D chung vì hai góc ấy đối nhau.
-- Xét (o) là sao vậy ạ
-- là xét đường tròn tâm o ý

Lời giải 2 :

#Của bạn đây - chúc vui vẻ!

image
image
image

Bạn có biết?

Toán học là môn khoa học nghiên cứu về các số, cấu trúc, không gian và các phép biến đổi. Nói một cách khác, người ta cho rằng đó là môn học về "hình và số". Theo quan điểm chính thống neonics, nó là môn học nghiên cứu về các cấu trúc trừu tượng định nghĩa từ các tiên đề, bằng cách sử dụng luận lý học (lôgic) và ký hiệu toán học. Các quan điểm khác của nó được miêu tả trong triết học toán. Do khả năng ứng dụng rộng rãi trong nhiều khoa học, toán học được mệnh danh là "ngôn ngữ của vũ trụ".

Nguồn : Wikipedia - Bách khoa toàn thư

Tâm sự 9

Lớp 9 - Là năm cuối ở cấp trung học cơ sở, sắp phải bước vào một kì thi căng thẳng và sắp chia tay bạn bè, thầy cô và cả kì vọng của phụ huynh ngày càng lớn mang tên "Lên cấp 3". Thật là áp lực nhưng các em hãy cứ tự tin vào bản thân là sẻ vượt qua nhé!

Nguồn : ADMIN :))

Liên hệ hợp tác hoặc quảng cáo: gmail

Điều khoản dịch vụ

Copyright © 2021 HOCTAPSGK