Trang chủ Toán Học Lớp 9 Bài tập áp dụng: Không giải phương trình, tính giá...

Bài tập áp dụng: Không giải phương trình, tính giá trị của biểu thức nghiệm a) Cho phương trình : x -8x+15 =0 Không giải phương trình, hãy tính 1,1 1. 저+제

Câu hỏi :

Mk đa cần gấp, lm giúp mk nhé

image

Lời giải 1 :

$a.$ $x^{2} - 8x + 15 = 0$.

+ Áp dụng hệ thức lượng Vi - ét, ta có: $\left \{ {{x_{1} \ + \ x_{2} \ = \ 8} \atop {x_{1}.x_{2} \ = \ 15}} \right.$.

$1.$

$x_{1}^{2} + x_{2}^{2} = (x_{1} + x_{2})^{2} - 2x_{1}.x_{2} = 8^{2} - 2.15 = 34$.

$2.$

$\dfrac {1}{x_{1}} + \dfrac {1}{x_{2}} = \dfrac {x_{1} + x_{2}}{x_{1}.x_{2}} = \dfrac {8}{15}$.

$3.$

$\dfrac {x_{1}}{x_{2}} + \dfrac {x_{1}}{x_{1}} = \dfrac {x_{1}^{2} + x_{2}^{2}}{x_{1}.x_{2}} = \dfrac {34}{15}$.

$4.$

$(x_{1} + x_{2})^{2} = 8^{2} = 64$.

$b.$ $8x^{2} - 72x + 64 = 0$.

+ Áp dụng hệ thức lượng Vi - ét, ta có: $\left \{ {{x_{1} \ + \ x_{2} \ = \ \dfrac {72}{8} \ = \ 9 } \atop {x_{1}.x_{2} \ = \ \dfrac {64}{8} \ = \ 8}} \right.$.

$1.$ 

$\dfrac {1}{x_{1}} + \dfrac {1}{x_{2}} = \dfrac {x_{1} + x_{2}}{x_{1}.x_{2}} = \dfrac {9}{8}$.

$2.$

$x_{1}^{2} + x_{2}^{2} = (x_{1} + x_{2})^{2} - 2x_{1}.x_{2} = 9^{2} - 2.8 = 65$.

$c.$ $x^{2} - 14x + 29 = 0$.

+ Áp dụng hệ thức lượng Vi - ét, ta có: $\left \{ {{x_{1} \ + \ x_{2} \ = \ 14} \atop {x_{1}.x_{2} \ = \ 29}} \right.$.

$1.$ 

$\dfrac {1}{x_{1}} + \dfrac {1}{x_{2}} = \dfrac {x_{1} + x_{2}}{x_{1}.x_{2}} = \dfrac {14}{29}$.

$2.$

$x_{1}^{2} + x_{2}^{2} = (x_{1} + x_{2})^{2} - 2x_{1}.x_{2} = 14^{2} - 2.29 = 138$.

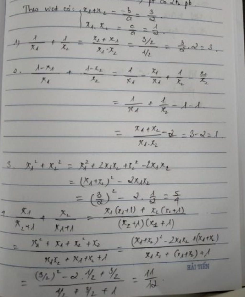
$d.$ $2x^{2} - 3x + 1 = 0$.

Xem ảnh đính kèm.

$e.$ $x^{2} - 4\sqrt {3}x + 8 = 0$.

+ Áp dụng hệ thức lượng Vi - ét, ta có: $\left \{ {{x_{1} \ + \ x_{2} \ = \ 4\sqrt {3}} \atop {x_{1}.x_{2} \ = \ 8}} \right.$.

+ Ta có: $Q = \dfrac {6x_{1}^{2} + 10x_{1}.x_{2} + 6x_{2}}{5x_{1}x_{2}^{3} + 5x_{1}^{3}x_{2}}$

$= \dfrac {6(x_{1} + x_{2})^{2} - 2x_{1}x_{2}}{5x_{1}x_{2}[(x_{1} - x_{2})^{2} - 2x_{1}x_{2}]}$.

$= \dfrac {6.(4\sqrt {3})^{2}}{5.8[(4\sqrt {3})^{2} - 2.8]}$.

$= \dfrac {17}{80}$.

--------------------------

XIN HAY NHẤT 

CHÚC EM HỌC TỐT 

image

Thảo luận

-- Bạn ơi
-- https://hoidap247.com/cau-hoi/1689637 Giúp mk câu hỏi này vs
-- Hứa cho CTLHN + 5 SAO

Bạn có biết?

Toán học là môn khoa học nghiên cứu về các số, cấu trúc, không gian và các phép biến đổi. Nói một cách khác, người ta cho rằng đó là môn học về "hình và số". Theo quan điểm chính thống neonics, nó là môn học nghiên cứu về các cấu trúc trừu tượng định nghĩa từ các tiên đề, bằng cách sử dụng luận lý học (lôgic) và ký hiệu toán học. Các quan điểm khác của nó được miêu tả trong triết học toán. Do khả năng ứng dụng rộng rãi trong nhiều khoa học, toán học được mệnh danh là "ngôn ngữ của vũ trụ".

Nguồn : Wikipedia - Bách khoa toàn thư

Tâm sự 9

Lớp 9 - Là năm cuối ở cấp trung học cơ sở, sắp phải bước vào một kì thi căng thẳng và sắp chia tay bạn bè, thầy cô và cả kì vọng của phụ huynh ngày càng lớn mang tên "Lên cấp 3". Thật là áp lực nhưng các em hãy cứ tự tin vào bản thân là sẻ vượt qua nhé!

Nguồn : ADMIN :))

Liên hệ hợp tác hoặc quảng cáo: gmail

Điều khoản dịch vụ

Copyright © 2021 HOCTAPSGK