Trang chủ Vật Lý Lớp 12 Trong thí nghiệm Y- âng về giao thoa ánh sáng,...

Trong thí nghiệm Y- âng về giao thoa ánh sáng, 1m. Sử dụng ánh sáng trắng bước sóng ( ...) tại vị trí vân sáng đỏ bậc 3 có bao nhiêu bức xạ trùng với nó. Tính

Câu hỏi :

Trong thí nghiệm Y- âng về giao thoa ánh sáng, 1m. Sử dụng ánh sáng trắng bước sóng ( ...) tại vị trí vân sáng đỏ bậc 3 có bao nhiêu bức xạ trùng với nó. Tính các bước sóng của các bức xạ đó.

image

Lời giải 1 :

Đáp án:

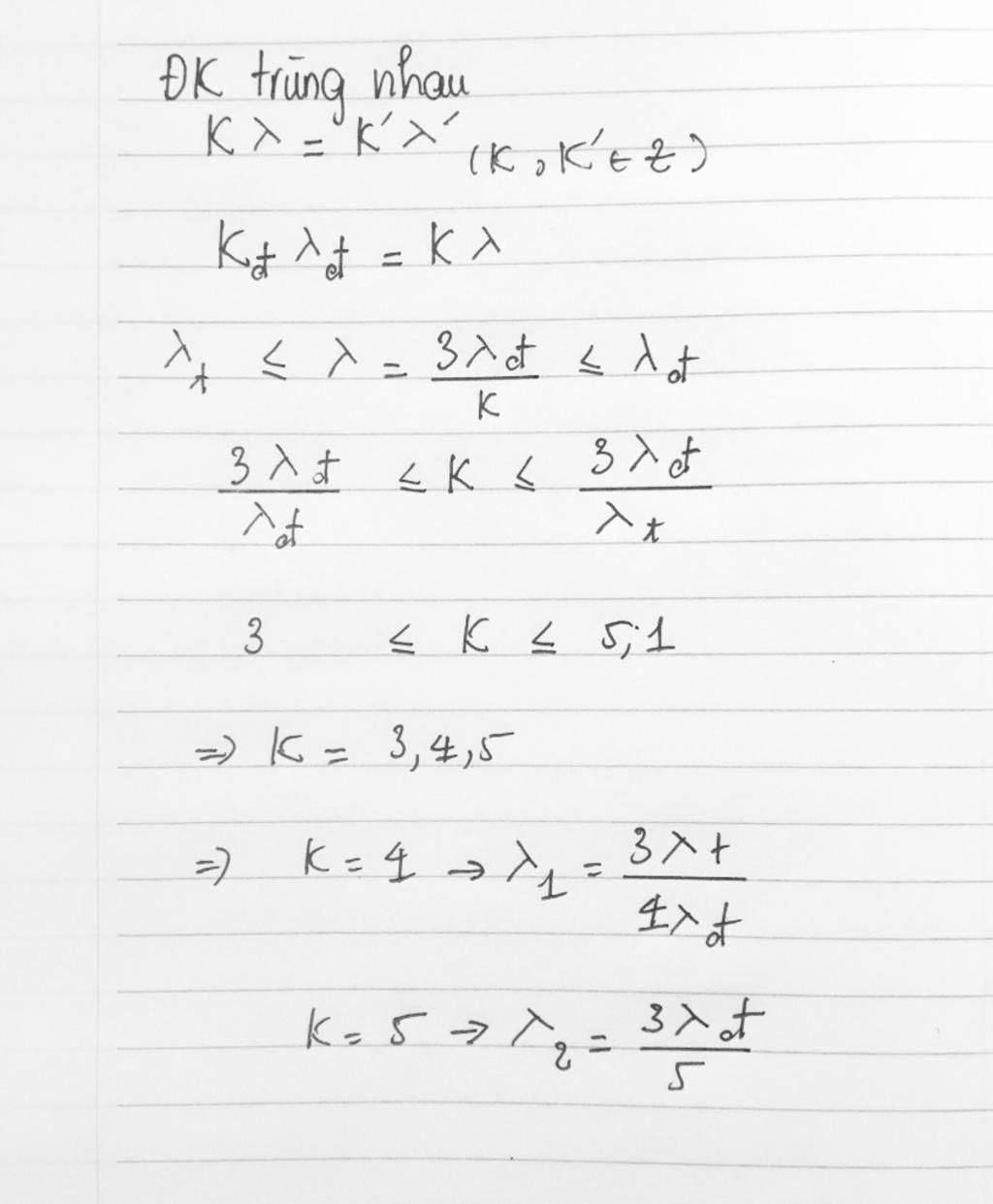
\(0,5625\mu m\) và \(0,45\mu m\)

Giải thích các bước giải:

Chuẩn hóa: \({i_d} = 0,75mm;{i_t} = 0,4mm\)

Suy ra: \(0,4mm \le i \le 0,75mm\)

Tại vị trí vân đỏ bậc 3: \(x = 3{i_d} = 2,25mm\)

Suy ra:

\(\begin{array}{l}
\dfrac{{2,25}}{{0,4}} \ge \dfrac{x}{i} \ge \dfrac{{2,25}}{{0,75}} \Rightarrow 5,625 \ge k \ge 3\\
 \Rightarrow k \in \left\{ {3,4,5} \right\}
\end{array}\)

Vậy ngoài vân đỏ còn có 2 vân sáng khác:

\(\begin{array}{l}
{i_1} = \dfrac{{2,25}}{4} = 0,5625mm \Rightarrow {\lambda _1} = 0,5625\mu m\\
{i_2} = \dfrac{{2,25}}{5} = 0,45mm \Rightarrow {\lambda _2} = 0,45\mu m
\end{array}\)

Thảo luận

-- https://hoidap247.com/cau-hoi/1690431
-- cô ơi, thế mấy bước làm kia là sai ạ
-- Bạn làm thế cũng được nhé
-- cô ơi nhưng mà em chép thiếu ấy ạ
-- cô giúp em trình bày theo kiểu kia được không ạ
-- không ý em là trình bày theo bài ghi ấy ạ, em cảm ơn cô nhiều ạ

Bạn có biết?

Vật lý học (tiếng Anh:physics, từ tiếng Hi Lạp cổ: φύσις có nghĩa là kiến thức về tự nhiên) là một môn khoa học tự nhiên tập trung vào sự nghiên cứu vật chất và chuyển động của nó trong không gian và thời gian, cùng với những khái niệm liên quan như năng lượng và lực.Vật lí học là một trong những bộ môn khoa học lâu đời nhất, với mục đích tìm hiểu sự vận động của vũ trụ.

Nguồn : Wikipedia - Bách khoa toàn thư

Tâm sự 12

Lớp 12 - Năm cuối ở cấp tiểu học, năm học quan trọng nhất trong đời học sinh trải qua bao năm học tập, bao nhiêu kì vọng của người thân xung quanh ta. Những nỗi lo về thi đại học và định hướng tương lai thật là nặng. Hãy tin vào bản thân là mình sẽ làm được rồi tương lai mới chờ đợi các em!

Nguồn : ADMIN :))

Liên hệ hợp tác hoặc quảng cáo: gmail

Điều khoản dịch vụ

Copyright © 2021 HOCTAPSGK