Trang chủ Toán Học Lớp 9 Cho phương trình x mũ 2 - mx + m-1=0...

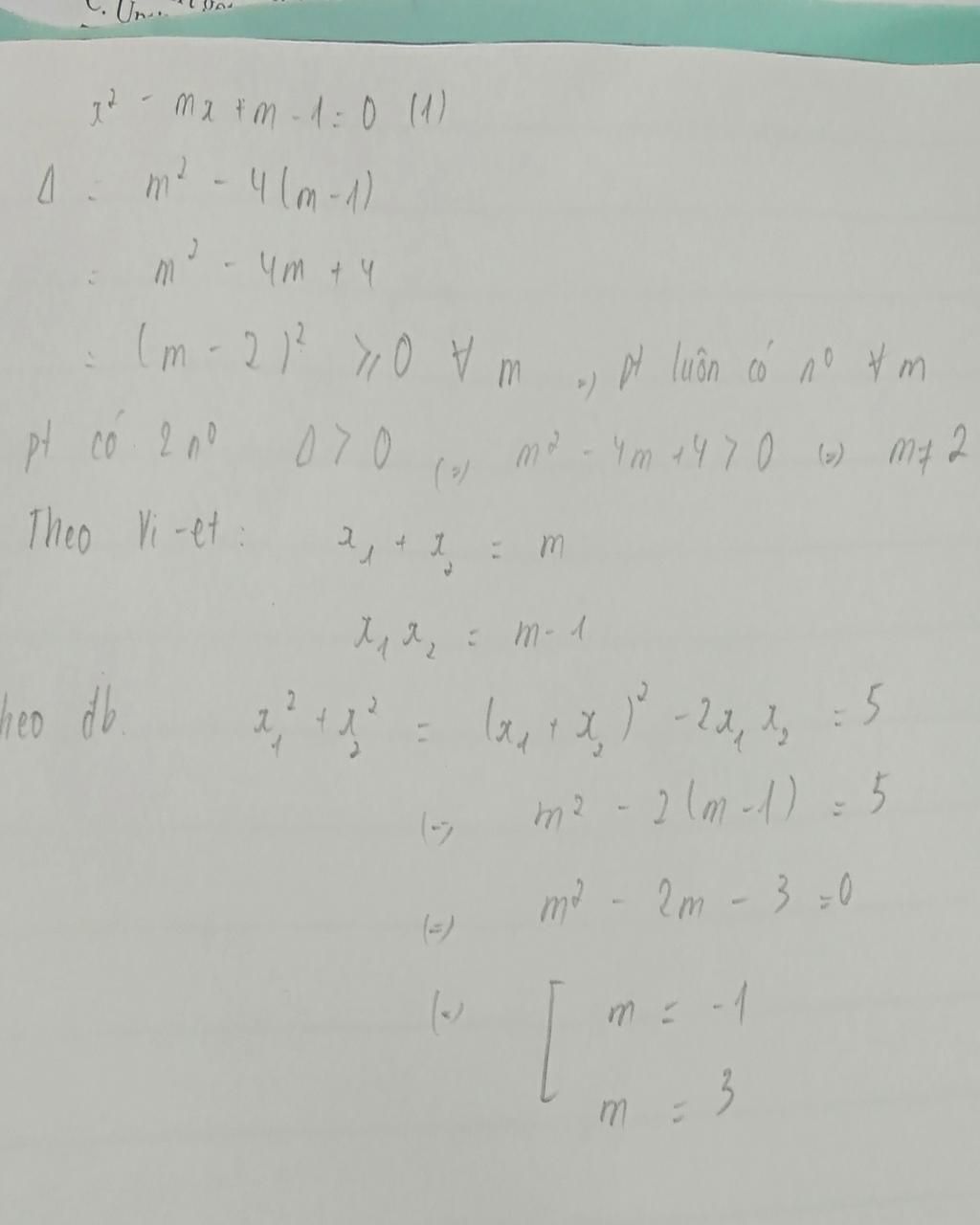
Cho phương trình x mũ 2 - mx + m-1=0 m là tham số (1) a chứng minh phương trình (1 ) luôn có nghiệm dưới mọi giá trị của m b tìm giá trị của m để phương trình

Câu hỏi :

Cho phương trình x mũ 2 - mx + m-1=0 m là tham số (1) a chứng minh phương trình (1 ) luôn có nghiệm dưới mọi giá trị của m b tìm giá trị của m để phương trình (1) có 2 nghiệm x1 x2 thỏa mãn điều kiện x1 mũ 2 + x2 mũ 2 =5

Lời giải 1 :

....

image

Thảo luận

Lời giải 2 :

Đáp án + Giải thích các bước giải:

`a) x^2-mx+m-1 =0 (1)`

Ta có : `\Delta` `= (-m)^2 - 4 ( m -1 ) = m^2 -4m + 4 = (m-2)^2 

Vì `(m-2)^2  >= 0 ∀m `

Nên phương trình (1) luôn có nghiệm với mọi giá trị của m (đpcm)

`b) `Theo hệ thức vi-et, ta có :

`{(x_1+x_2= m),(x_1x_2= m-1):}` `(2)`

Theo bài ra, ta có :

`x_1^2 + x_2^2 = 5 `

`<=> (x_1+x_2)^2 - 2x_1x_2 = 5 ` `(3)`

Từ `(2)` và `(3)` ta có :

`m^2 - 2(m-1) = 5 `

`<=> m^2 - 2m +2 = 5 `

`<=> m^2 - 2m +2 - 5 =0 `

`<=> m^2- 2m -3 = 0`

`<=> m^2 +m -3m - 3 =0 `

`<=> (m^2+m)( -3m-3)=0`

`<=> m(m+1)-3(m+ 1 )=0`

`<=> (m-3 )( m+1 ) =0 `

`<=> ` $\left[\begin{matrix} m-3 = 0 \\ m+1 =0 \end{matrix}\right.$

`<=>` $\left[\begin{matrix} m=3\\ m =-1\end{matrix}\right.$

Vậy `m = 3 ` hoặc `m=-1` thì phương trình `(1)` có 2 nghiệm `x_1` và `x_2` thoã mãn điều kiện `x_1^2 +x_2^2 = 5 `

Bạn có biết?

Toán học là môn khoa học nghiên cứu về các số, cấu trúc, không gian và các phép biến đổi. Nói một cách khác, người ta cho rằng đó là môn học về "hình và số". Theo quan điểm chính thống neonics, nó là môn học nghiên cứu về các cấu trúc trừu tượng định nghĩa từ các tiên đề, bằng cách sử dụng luận lý học (lôgic) và ký hiệu toán học. Các quan điểm khác của nó được miêu tả trong triết học toán. Do khả năng ứng dụng rộng rãi trong nhiều khoa học, toán học được mệnh danh là "ngôn ngữ của vũ trụ".

Nguồn : Wikipedia - Bách khoa toàn thư

Tâm sự 9

Lớp 9 - Là năm cuối ở cấp trung học cơ sở, sắp phải bước vào một kì thi căng thẳng và sắp chia tay bạn bè, thầy cô và cả kì vọng của phụ huynh ngày càng lớn mang tên "Lên cấp 3". Thật là áp lực nhưng các em hãy cứ tự tin vào bản thân là sẻ vượt qua nhé!

Nguồn : ADMIN :))

Liên hệ hợp tác hoặc quảng cáo: gmail

Điều khoản dịch vụ

Copyright © 2021 HOCTAPSGK