Trang chủ Toán Học Lớp 6 1:tìm x lớn nhất biết A):120÷ hết x;180: hết x...

1:tìm x lớn nhất biết A):120÷ hết x;180: hết x B): 24: hết x;84: hết x;168: hết x 2,tìm x nhỏ nhất A): x: hết 15 và x: hết 90 B): x: hết 8; x: hết16;x: hết320

Câu hỏi :

1:tìm x lớn nhất biết A):120÷ hết x;180: hết x B): 24: hết x;84: hết x;168: hết x 2,tìm x nhỏ nhất A): x: hết 15 và x: hết 90 B): x: hết 8; x: hết16;x: hết320

Lời giải 1 :

Cho mk xin hay nhất nho~ có j ko hỉu bảo mk nhé .cho mk xin hay nhất đêm về nhóm ạ.

 🥰😍😘😍🥰😘😍🥰😋

image
image
image

Thảo luận

Lời giải 2 :

Đáp án:

 

Giải thích các bước giải:

1:tìm x lớn nhất biết

A):120

Giải

Ta có :

120÷ hết x

180: hết x

⇒x∈ƯC(120;180)

Mà x lớn nhất 

⇒x∈ƯCLN(120;180)

 Ta lại có:

120=2³.3.5

180=2².3².5

⇒ƯCLN(120;180)=2².3.5=60

Vậy x=60

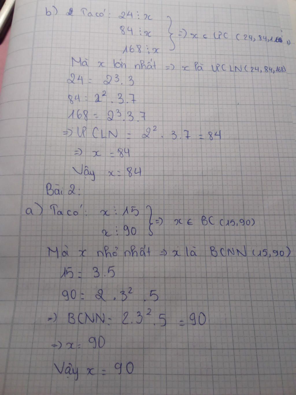
B): 24: hết x;84: hết x;168: hết x

Giải

Ta có :

24: hết x

84: hết

168: hết x

⇒x∈ƯC(24;84;168)

Mà x lớn nhất 

⇒x∈ƯCLN(24;84;168)

 Ta lại có:

24=2³.3

84=2².3.7

168=2³.3.7

⇒ƯCLN(24;84;168)=2².3.7=84

Vậy x=84

2,tìm x nhỏ nhất

A): x: hết 15 và x: hết 90

Giải

Ta có :

x: hết 15

x: hết 90

⇒x∈BCNN(15;90)

Mà x nhỏ nhất 

⇒x∈BCNN(15;90)

 Ta lại có:

15=3.5

90=2.3².5

⇒BCNN(24;84;168)=3².5.2=90

Vậy x=90

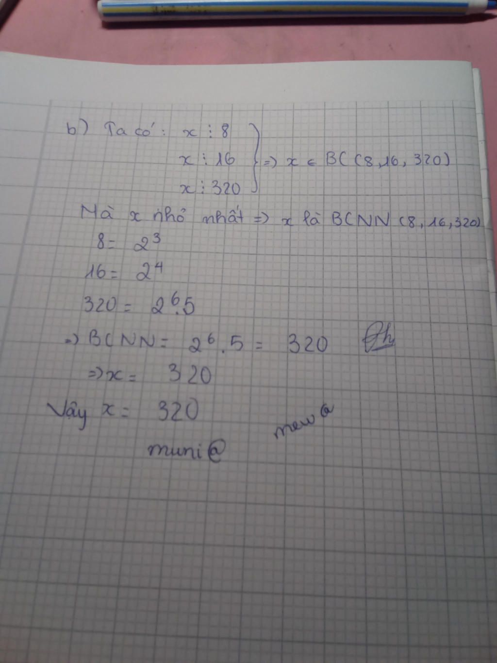
B): x: hết 8; x: hết16;x: hết320

Giải

Ta có :

x: hết 8

x: hết16

x: hết320

⇒x∈BCNN(8;16;320)

Mà x nhỏ nhất 

⇒x∈BCNN(8;16;320)

 Ta lại có:

8=2³

16=$2^{4}$

320=$2^{6}$.5

⇒BCNN(24;84;168)=$2^{6}$.5=320

Vậy x=320

CHO MK XIN HAY NHẤT NHÉ

CHÚC BN HK TỐT

CẢM ƠN BN NHÌU AK

Bạn có biết?

Toán học là môn khoa học nghiên cứu về các số, cấu trúc, không gian và các phép biến đổi. Nói một cách khác, người ta cho rằng đó là môn học về "hình và số". Theo quan điểm chính thống neonics, nó là môn học nghiên cứu về các cấu trúc trừu tượng định nghĩa từ các tiên đề, bằng cách sử dụng luận lý học (lôgic) và ký hiệu toán học. Các quan điểm khác của nó được miêu tả trong triết học toán. Do khả năng ứng dụng rộng rãi trong nhiều khoa học, toán học được mệnh danh là "ngôn ngữ của vũ trụ".

Nguồn : Wikipedia - Bách khoa toàn thư

Tâm sự 6

Lớp 6 - Là năm đầu tiên của cấp trung học cơ sở. Được sống lại những khỉ niệm như ngày nào còn lần đầu đến lớp 1, được quen bạn mới, ngôi trường mới, một tương lai mới!

Nguồn : ADMIN :))

Liên hệ hợp tác hoặc quảng cáo: gmail

Điều khoản dịch vụ

Copyright © 2021 HOCTAPSGK