Trang chủ Toán Học Lớp 7 Ai giúp mik vs, mik đag cần gấp câu hỏi...

Ai giúp mik vs, mik đag cần gấp câu hỏi 4590882 - hoctapsgk.com

Câu hỏi :

Ai giúp mik vs, mik đag cần gấp

image

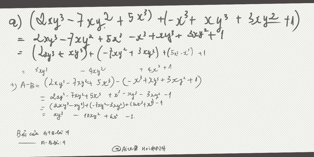
Lời giải 1 :

Gửi cậu đáp án ạa ._.

Không hiểu chỗ nào hỏi tớ luônn nhé .3.

-Chúc cậu học tốt-

image
image

Thảo luận

-- Cảm ơn cậu nhiều
-- Dạ khôngg có gìii ạ~
-- À cậu ơi cho mik hỏi ;-;, tại sao bậc của a+b lại là 4 vậy, mik chưa hiểu lắm
-- Vì ở cái kết quả á cậu Có 3 hạng tử là 3xy mũ 3 -4xy mũ 2 4x mũ 3 và 1 Thì có hạng tử 3xy mũ 3 là có mũ cao nhất là 4 á. Nên bậc của hạng tử 3xy mũ 3 là 4 và bậc của đa thức cũng bằng 4
-- À ok cậu

Bạn có biết?

Toán học là môn khoa học nghiên cứu về các số, cấu trúc, không gian và các phép biến đổi. Nói một cách khác, người ta cho rằng đó là môn học về "hình và số". Theo quan điểm chính thống neonics, nó là môn học nghiên cứu về các cấu trúc trừu tượng định nghĩa từ các tiên đề, bằng cách sử dụng luận lý học (lôgic) và ký hiệu toán học. Các quan điểm khác của nó được miêu tả trong triết học toán. Do khả năng ứng dụng rộng rãi trong nhiều khoa học, toán học được mệnh danh là "ngôn ngữ của vũ trụ".

Nguồn : Wikipedia - Bách khoa toàn thư

Tâm sự 7

Lớp 7 - Năm thứ hai ở cấp trung học cơ sở, một cuồng quay mới lại đến vẫn bước tiếp trên đường đời học sinh. Học tập vẫn là nhiệm vụ chính!

Nguồn : ADMIN :))

Liên hệ hợp tác hoặc quảng cáo: gmail

Điều khoản dịch vụ

Copyright © 2021 HOCTAPSGK