Trang chủ Toán Học Lớp 11 Một người nhận hợp đồng dài hạn làm việc cho...

Một người nhận hợp đồng dài hạn làm việc cho một công ty với lương năm đầu tiên là 72 triệu đồng một năm, cứ sau 3 năm thì tăng lương 10%/năm. Tính tổng số ti

Câu hỏi :

Một người nhận hợp đồng dài hạn làm việc cho một công ty với lương năm đầu tiên là 72 triệu đồng một năm, cứ sau 3 năm thì tăng lương 10%/năm. Tính tổng số tiền lương mà người đó nhận được của công ty sau đúng 21 năm làm việc

Lời giải 1 :

Năm thứ nhất, lương là $72$ triệu đồng. 

Đến năm thứ tư, lương tăng gấp $1+10\%=1,1$ lần. 

Đến năm thứ bảy, lương tăng gấp $1,1$ mức năm thứ tư.

Vậy số tiền lương qua mỗi lần tăng lương lập thành CSN $(u_n)$ với $u_1=72$ (triệu), $q=1,1$

Sau $21$ năm làm việc, có $6$ lần tăng lương, ứng với $u_7$

Sau $21$ năm làm việc, tổng số tiền là:

$S_7=\dfrac{u_1(1-q^7)}{1-q}=\dfrac{72(1-1,1^7)}{1-1,1}\approx 683,1$ triệu

Thảo luận

-- a cường ơi chỉ e cách viết nhiệt độ vs
-- 2Cu+ O_2 \xrightarrow{{t^o}} 2CuO
-- như vậy là đc hả a
-- Thêm $ 2 bên
-- vâng

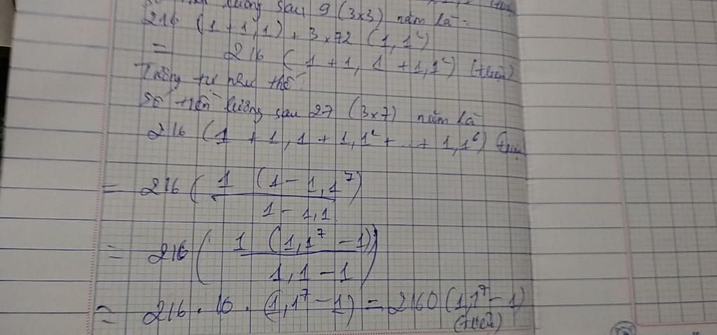
Lời giải 2 :

Đáp án:

 

Giải thích các bước giải:

 

image
image

Bạn có biết?

Toán học là môn khoa học nghiên cứu về các số, cấu trúc, không gian và các phép biến đổi. Nói một cách khác, người ta cho rằng đó là môn học về "hình và số". Theo quan điểm chính thống neonics, nó là môn học nghiên cứu về các cấu trúc trừu tượng định nghĩa từ các tiên đề, bằng cách sử dụng luận lý học (lôgic) và ký hiệu toán học. Các quan điểm khác của nó được miêu tả trong triết học toán. Do khả năng ứng dụng rộng rãi trong nhiều khoa học, toán học được mệnh danh là "ngôn ngữ của vũ trụ".

Nguồn : Wikipedia - Bách khoa toàn thư

Tâm sự 11

Lớp 11 - Năm thứ hai ở cấp trung học phổ thông, gần đến năm cuối cấp nên học tập là nhiệm vụ quan trọng nhất. Nghe nhiều đến định hướng sau này rồi học đại học. Ôi nhiều lúc thật là sợ, hoang mang nhưng các em hãy tự tin và tìm dần điều mà mình muốn là trong tương lai nhé!

Nguồn : ADMIN :))

Liên hệ hợp tác hoặc quảng cáo: gmail

Điều khoản dịch vụ

Copyright © 2021 HOCTAPSGK