Trang chủ Toán Học Lớp 7 Tính A-B biết A= x³ + 3x² và B= -...

Tính A-B biết A= x³ + 3x² và B= - 3x² + 4x³ câu hỏi 4576497 - hoctapsgk.com

Câu hỏi :

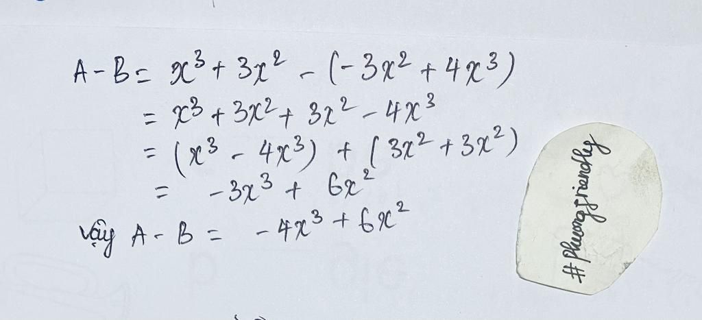
Tính A-B biết A= x³ + 3x² và B= - 3x² + 4x³

Lời giải 1 :

Gửi bạn

 

image

Thảo luận

-- À SR bạn #Phuongfriendly mình không để ý phần bình luận bạn có sửa. => Cảm ơn Mod đã ko xoá câu trl của mik nhé!
-- on r à bao h mới được vô nhóm
-- chuyển chức
-- Bao giờ ai bít bao giờ ;-;
-- bao h mới được vô nhóm
-- chuyển chức => mn cày nhé, tối nay tui bận quá
-- được chưa
-- bạn mà chuyển gã kia kick mik luôn đó đoán thế

Lời giải 2 :

Đáp án:

 

Giải thích các bước giải:

 `A- B`

`A- B= x^3+ 3x^2- ( -3x^2+ 4x^3)`

`A- B= x^3+ 3x^2+ 3x^2- 4x^3`

`A- B= (x^3- 4x^3)+ (3x^2+ 3x^2)`

`A-B= -3x^3+ 6x^2`

Bạn có biết?

Toán học là môn khoa học nghiên cứu về các số, cấu trúc, không gian và các phép biến đổi. Nói một cách khác, người ta cho rằng đó là môn học về "hình và số". Theo quan điểm chính thống neonics, nó là môn học nghiên cứu về các cấu trúc trừu tượng định nghĩa từ các tiên đề, bằng cách sử dụng luận lý học (lôgic) và ký hiệu toán học. Các quan điểm khác của nó được miêu tả trong triết học toán. Do khả năng ứng dụng rộng rãi trong nhiều khoa học, toán học được mệnh danh là "ngôn ngữ của vũ trụ".

Nguồn : Wikipedia - Bách khoa toàn thư

Tâm sự 7

Lớp 7 - Năm thứ hai ở cấp trung học cơ sở, một cuồng quay mới lại đến vẫn bước tiếp trên đường đời học sinh. Học tập vẫn là nhiệm vụ chính!

Nguồn : ADMIN :))

Liên hệ hợp tác hoặc quảng cáo: gmail

Điều khoản dịch vụ

Copyright © 2021 HOCTAPSGK