Trang chủ Toán Học Lớp 8 Cho `a,b,c` là các số dương. Tìm GTNN của biểu...

Cho `a,b,c` là các số dương. Tìm GTNN của biểu thức: `B=(a^2)/(a^2+2bc)+(b^2)/(b^2+2ac)+(c^2)/(c^2+2ab)` câu hỏi 1605061 - hoctapsgk.com

Câu hỏi :

Cho `a,b,c` là các số dương. Tìm GTNN của biểu thức: `B=(a^2)/(a^2+2bc)+(b^2)/(b^2+2ac)+(c^2)/(c^2+2ab)`

Lời giải 1 :

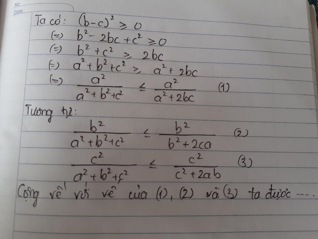
Đáp án:

 

Giải thích các bước giải:

 

image
image

Thảo luận

-- Nhưng em chưa học Bunhiacopxki ạ!! Liệu có cách chứng minh khác không vậy ạ?
-- vc có cái BĐT Svacso á , tui chưa học cái đó nên hổng có bít , bunhiacopxki thì học ròi còn cái đó thì chưa bt h mới biết , cảm ơn vì đã cung cấp nhé
-- Bài đấy còn cách khác, nhưng mình không nghĩ ra
-- Vậy thui:3 Cảm ơn ạ:3
-- à mà cái BĐT Svacso này là but mở rộng với bộ 3 số a,b,c và x,y,z của BĐT Bunhiacopxki thì phải
-- Mình gửi cách khác dễ hiểu hơn, các bạn xem thử
-- Tuyệt!! Em cảm ơn akk <33
-- ờm cách này hay đó

Lời giải 2 :

Đáp án:

Cách 1:

$B=\frac{a^2}{a^2+2bc}+\frac{b^2}{b^2+2ac}+\frac{c^2}{c^2+2ab}$

Áp dụng bất đẳng thức $Cosi$:

$=>ab \le \frac{a^2+b^2}{2}$

$=>B \ge  \frac{a^2}{a^2+b^2+c^2}+\frac{b^2}{a^2+b^2+c^2}+\frac{c^2}{a^2+b^2+c^2}=\frac{a^2+b^2+c^2}{a^2+b^2+c^2}=1$

Vậy giá trị nhỏ nhất của biểu thức là $1$. Dấu bằng xảy ra khi: $a=b=c$

Cách 2: 

$B=\frac{a^2}{a^2+2bc}+\frac{b^2}{b^2+2ac}+\frac{c^2}{c^2+2ab}$

Áp dụng bất đẳng thức $Svac-xơ$:

$=> B \ge \frac{(a+b+c)^2}{a^2+b^2+c^2+2ab+2bc+2ac}=\frac{(a+b+c)^2}{(a+b+c)^2}=1 $

Vậy giá trị nhỏ nhất của biểu thức là $1$. Dấu bằng xảy ra khi: $a=b=c$

Bạn có biết?

Toán học là môn khoa học nghiên cứu về các số, cấu trúc, không gian và các phép biến đổi. Nói một cách khác, người ta cho rằng đó là môn học về "hình và số". Theo quan điểm chính thống neonics, nó là môn học nghiên cứu về các cấu trúc trừu tượng định nghĩa từ các tiên đề, bằng cách sử dụng luận lý học (lôgic) và ký hiệu toán học. Các quan điểm khác của nó được miêu tả trong triết học toán. Do khả năng ứng dụng rộng rãi trong nhiều khoa học, toán học được mệnh danh là "ngôn ngữ của vũ trụ".

Nguồn : Wikipedia - Bách khoa toàn thư

Tâm sự 8

Lớp 8 - Năm thứ ba ở cấp trung học cơ sở, học tập bắt đầu nặng dần, sang năm lại là năm cuối cấp áp lực lớn dần nhưng các em vẫn phải chú ý sức khỏe nhé!

Nguồn : ADMIN :))

Liên hệ hợp tác hoặc quảng cáo: gmail

Điều khoản dịch vụ

Copyright © 2021 HOCTAPSGK