Trang chủ Toán Học Lớp 8 Giải pt :(x^2+1)/x+x/(x^2+1)=5/2 câu hỏi 1600510 - hoctapsgk.com

Giải pt :(x^2+1)/x+x/(x^2+1)=5/2 câu hỏi 1600510 - hoctapsgk.com

Câu hỏi :

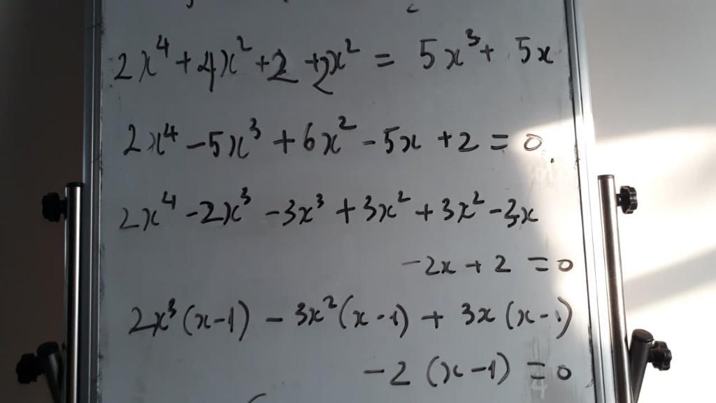
Giải pt :(x^2+1)/x+x/(x^2+1)=5/2

Lời giải 1 :

Bạn xem hình

image

Thảo luận

-- Anh ơi
-- Sao chỗ 5/2 lại nhân thêm x(x^2+1)?
-- Quy đồng mà em
-- Anh ơi, em làm cách này, anh xem hộ em đúng không ạ
-- Anh vote cảm ơn cho em nha, làm bài hơn 30 phút đó...
-- Oke luôn 🐧
-- Cảm ơn anh ạ
-- Anh ơi, nhóm anh còn tuyển thành viên không ạ?

Lời giải 2 :

$\frac{x^2+1}{x}$ +  $\frac{x}{x^2+1}$ = $\frac{5}{2}$ 

⇔$\frac{(x^2+1)^2}{x(x^2+1)}$ +  $\frac{x^2}{x(x^2+1)}$ = $\frac{5}{2}$ 

⇔$(x^2+1)^2+x^2=$$\frac{5}{2}$ 

Phần tiếp theo mình làm trong hình ạ.

Mặc dù không bằng Mod Quang Cường, nhưng được trả lời cùng là mình vui rồi...

image
image
image
image

Bạn có biết?

Toán học là môn khoa học nghiên cứu về các số, cấu trúc, không gian và các phép biến đổi. Nói một cách khác, người ta cho rằng đó là môn học về "hình và số". Theo quan điểm chính thống neonics, nó là môn học nghiên cứu về các cấu trúc trừu tượng định nghĩa từ các tiên đề, bằng cách sử dụng luận lý học (lôgic) và ký hiệu toán học. Các quan điểm khác của nó được miêu tả trong triết học toán. Do khả năng ứng dụng rộng rãi trong nhiều khoa học, toán học được mệnh danh là "ngôn ngữ của vũ trụ".

Nguồn : Wikipedia - Bách khoa toàn thư

Tâm sự 8

Lớp 8 - Năm thứ ba ở cấp trung học cơ sở, học tập bắt đầu nặng dần, sang năm lại là năm cuối cấp áp lực lớn dần nhưng các em vẫn phải chú ý sức khỏe nhé!

Nguồn : ADMIN :))

Liên hệ hợp tác hoặc quảng cáo: gmail

Điều khoản dịch vụ

Copyright © 2021 HOCTAPSGK