Trang chủ Tin Học Lớp 8 End. 4 VH CT tinh オ 十.t 3.5 - câu...

End. 4 VH CT tinh オ 十.t 3.5 - câu hỏi 1528059 - hoctapsgk.com

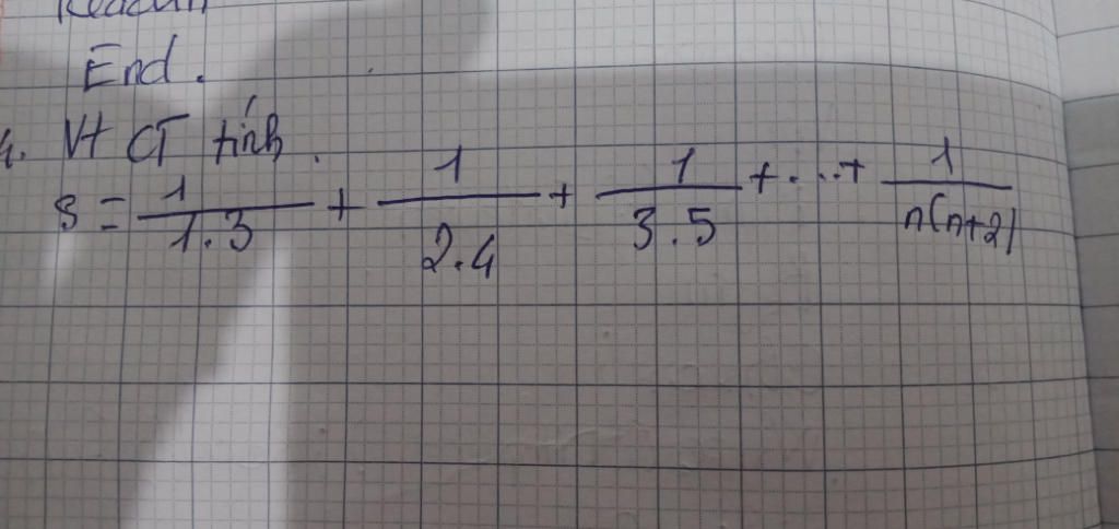
Câu hỏi :

Giải giúp mình đi mình cần gấp

image

Lời giải 1 :

uses crt;

var i,n: integer;

        s: real;

begin

clrscr;

write ('nhap n: ');   readln (n);

for i:=1 to n do

s:=s+(1/n*(n+2));

writeln ('tong la: ',s:1:2);

readln;

end.

Thảo luận

-- Cảm ơn
-- sao chưa đứng nhất m
-- đang bận ôn thi anh ơi :()
-- chưa thi xong hé
-- ukm :))

Lời giải 2 :

uses crt;

var n,i:integer;s:real;

begin

 clrscr;

 writeln('nhap n');readln(n);s:=0;

 for i:=1 to n do

  s:=s+(1/(n*(n+2)));

writeln(s);

readln;

end.

Bạn có biết?

Tin học, tiếng Anh: informatics, tiếng Pháp: informatique, là một ngành khoa học chuyên nghiên cứu quá trình tự động hóa việc tổ chức, lưu trữ, xử lý và truyền dẫn thông tin của một hệ thống máy tính cụ thể hoặc trừu tượng (ảo). Với cách hiểu hiện nay, tin học bao hàm tất cả các nghiên cứu và kỹ thuật có liên quan đến việc mô phỏng, biến đổi và tái tạo thông tin.

Nguồn : Wikipedia - Bách khoa toàn thư

Tâm sự 8

Lớp 8 - Năm thứ ba ở cấp trung học cơ sở, học tập bắt đầu nặng dần, sang năm lại là năm cuối cấp áp lực lớn dần nhưng các em vẫn phải chú ý sức khỏe nhé!

Nguồn : ADMIN :))

Liên hệ hợp tác hoặc quảng cáo: gmail

Điều khoản dịch vụ

Copyright © 2021 HOCTAPSGK