Trang chủ Toán Học Lớp 7 d) 을- vàx-y-6 -5=-1 Bài 3. (2 điểm) Ba đội...

d) 을- vàx-y-6 -5=-1 Bài 3. (2 điểm) Ba đội máy cày cùng cày một cánh đồng có diện tích như nhau, biết đội thứ nhất hoàn thành trong 4 ngày, đội thứ hai hoà

Câu hỏi :

làm hộ mình câu hỏi số 3 với ạ:

image

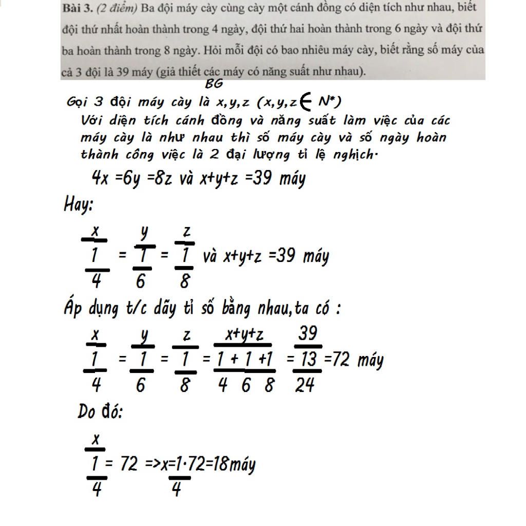
Lời giải 1 :

2 cái cuối mk chụp riêng nha

         

 

image
image

Thảo luận

Lời giải 2 :

Đáp án:

 

Giải thích các bước giải:

     Gọi số máy cày của 3 đội lần lượt là a, b, c (máy) (a, b, c thuộc N*)

     Với diện tích cánh đồng và năng suất làm việc của các máy cày là như nhau thì số máy cày và số ngày hoàn thành công việc là 2 đại lượng tỉ lệ nghịch

     Theo đề, ta có:

     4a=6b=8c và a+b+c=39

     =>4a/24=6b/24=8c/24 và a+b+c=39

     =>a/6=b/4=c/3 và a+b+c=39

     Áp dụng tính chất của dãy tỉ số bằng nhau, ta có:

     a/6=b/4=c/3=a+b+c/6+4+3=39/13=3

     =>a=18(TM)

          b=12(TM)

          c=9(TM)

     Vậy số máy cày của ba đội lần lượt là.......

 

Bạn có biết?

Toán học là môn khoa học nghiên cứu về các số, cấu trúc, không gian và các phép biến đổi. Nói một cách khác, người ta cho rằng đó là môn học về "hình và số". Theo quan điểm chính thống neonics, nó là môn học nghiên cứu về các cấu trúc trừu tượng định nghĩa từ các tiên đề, bằng cách sử dụng luận lý học (lôgic) và ký hiệu toán học. Các quan điểm khác của nó được miêu tả trong triết học toán. Do khả năng ứng dụng rộng rãi trong nhiều khoa học, toán học được mệnh danh là "ngôn ngữ của vũ trụ".

Nguồn : Wikipedia - Bách khoa toàn thư

Tâm sự 7

Lớp 7 - Năm thứ hai ở cấp trung học cơ sở, một cuồng quay mới lại đến vẫn bước tiếp trên đường đời học sinh. Học tập vẫn là nhiệm vụ chính!

Nguồn : ADMIN :))

Liên hệ hợp tác hoặc quảng cáo: gmail

Điều khoản dịch vụ

Copyright © 2021 HOCTAPSGK