Trang chủ Toán Học Lớp 7 Mn ơi giải thichd cho mình tại sao chỗ này...

Mn ơi giải thichd cho mình tại sao chỗ này lại ra a/77=b/35=c/17 với ạa và 35 17 11 a 77 35 17 ||

Câu hỏi :

Mn ơi giải thichd cho mình tại sao chỗ này lại ra a/77=b/35=c/17 với ạ

image

Lời giải 1 :

Ta có :

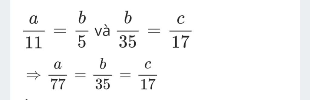
`a/11=b/5=>a/[11xx7]=b/[5xx7]=>a/77=b/35` `(1)`

`b/35=c/17` `(2)`

Từ `(1),(2)=>a/77=b/35=c/17` (T/c bắc cầu)

Xin hay nhất !

Thảo luận

-- Nhưng tại sao ở đâu lại nhân cho 7 vậy ạ
-- Để có `b/35` cho = nhau nhé
-- Rồi áp dụng tính chất bắc cầu là đc
-- Mk tưởng cái tính chất bắc cầu chỉ trong toán hình thôi mak nhỉ??
-- Cậu vô lại nhóm đi
-- vào team mik ko
-- Mk tưởng cái tính chất bắc cầu chỉ trong toán hình thôi mak nhỉ?? `=>` Ko nhé
-- vào team mik ko => Ko ạ

Lời giải 2 :

Đáp án:

 

Giải thích các bước giải:

$\frac{a}{11}$= $\frac{b}{5}$ => $\frac{a}{77}$ =$\frac{b}{35}$ Chia cả 2 vế cho 7 mà $\frac{b}{35}$= $\frac{c}{17}$ nên có điều trên

Bạn có biết?

Toán học là môn khoa học nghiên cứu về các số, cấu trúc, không gian và các phép biến đổi. Nói một cách khác, người ta cho rằng đó là môn học về "hình và số". Theo quan điểm chính thống neonics, nó là môn học nghiên cứu về các cấu trúc trừu tượng định nghĩa từ các tiên đề, bằng cách sử dụng luận lý học (lôgic) và ký hiệu toán học. Các quan điểm khác của nó được miêu tả trong triết học toán. Do khả năng ứng dụng rộng rãi trong nhiều khoa học, toán học được mệnh danh là "ngôn ngữ của vũ trụ".

Nguồn : Wikipedia - Bách khoa toàn thư

Tâm sự 7

Lớp 7 - Năm thứ hai ở cấp trung học cơ sở, một cuồng quay mới lại đến vẫn bước tiếp trên đường đời học sinh. Học tập vẫn là nhiệm vụ chính!

Nguồn : ADMIN :))

Liên hệ hợp tác hoặc quảng cáo: gmail

Điều khoản dịch vụ

Copyright © 2021 HOCTAPSGK