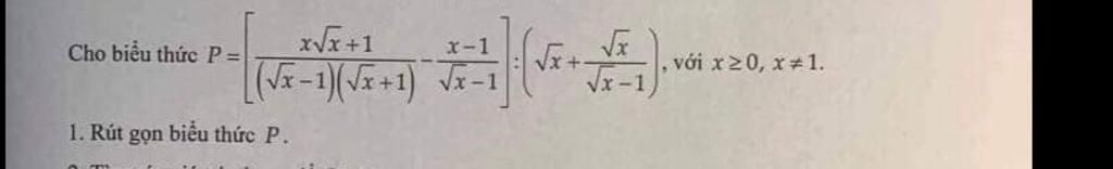
Trang chủ Toán Học Lớp 9 Cho biểu thức P= với x20, x#1. 1. Rút gọn...

Cho biểu thức P= với x20, x#1. 1. Rút gọn biểu thức P.

Câu hỏi :

helpppppphelpppphhshsjhdbdnd

image

Lời giải 1 :

Đáp án:

#Wan

Với `x >= 0 ,x \ne 1`. Ta có:

`P = [ [ x\sqrt{x} + 1 ] / [ ( \sqrt{x} - 1 ) ( \sqrt{x} + 1 ) ] - [ x - 1 ] / [ \sqrt{x} -1 ] ] : ( \sqrt{x} + \sqrt{x} / [ \sqrt{x} - 1 ] )`

`P = [ [ ( \sqrt{x} + 1 ) ( x - \sqrt{x} + 1 ) ] / [ ( \sqrt{x} - 1 ) ( \sqrt{x} + 1 ) ] - [ x - 1 ] / [ \sqrt{x} -1 ] ] : ( [\sqrt{x} ( \sqrt{x} - 1 ) + \sqrt{x} ] / [ \sqrt{x} - 1 ] )`

`P = [ x - \sqrt{x} + 1 - x + 1 ] / [ \sqrt{x} - 1 ] : [ x - \sqrt{x} + \sqrt{x} ] / [ \sqrt{x} - 1 ]`

`P = [ -\sqrt{x} + 2 ] / [ \sqrt{x} - 1 ] . [ \sqrt{x} - 1 ] / x`

`P = [ -\sqrt{x} + 2 ] / x`

Giải thích các bước giải:

 

Thảo luận

-- cứ vứt acc sớm ik, m sẽ ko thấy 1 điều bất ngờ diễn ra vào tháng sau đâu wan à :D
-- Lên mod chớ giề
-- ko t có đc đâu, cái khác cơ :hehe
-- Là cái j á còn chues lêb skype
-- skype h sao ý méo vào đc =))
-- login.skype.com thường sử dụng mã hóa để bảo vệ thông tin của bạn. Khi Chrome cố gắng kết nối với login.skype.com tại thời điểm này, trang web đã gửi lại thông tin xác thực không chính xác và bất thường. Điều này có thể xảy ra khi kẻ tấn công đang cố g... xem thêm
-- Chệu
-- Nghiệp

Bạn có biết?

Toán học là môn khoa học nghiên cứu về các số, cấu trúc, không gian và các phép biến đổi. Nói một cách khác, người ta cho rằng đó là môn học về "hình và số". Theo quan điểm chính thống neonics, nó là môn học nghiên cứu về các cấu trúc trừu tượng định nghĩa từ các tiên đề, bằng cách sử dụng luận lý học (lôgic) và ký hiệu toán học. Các quan điểm khác của nó được miêu tả trong triết học toán. Do khả năng ứng dụng rộng rãi trong nhiều khoa học, toán học được mệnh danh là "ngôn ngữ của vũ trụ".

Nguồn : Wikipedia - Bách khoa toàn thư

Tâm sự 9

Lớp 9 - Là năm cuối ở cấp trung học cơ sở, sắp phải bước vào một kì thi căng thẳng và sắp chia tay bạn bè, thầy cô và cả kì vọng của phụ huynh ngày càng lớn mang tên "Lên cấp 3". Thật là áp lực nhưng các em hãy cứ tự tin vào bản thân là sẻ vượt qua nhé!

Nguồn : ADMIN :))

Liên hệ hợp tác hoặc quảng cáo: gmail

Điều khoản dịch vụ

Copyright © 2021 HOCTAPSGK