Trang chủ Hóa Học Lớp 8 Cho 6,2g P cháy hoàn toàn trong 11,2 lít O2(đktc)....

Cho 6,2g P cháy hoàn toàn trong 11,2 lít O2(đktc). Tính m P2O5 tạo thành và khối lượng chất còn dư sau phản ứng câu hỏi 1462118 - hoctapsgk.com

Câu hỏi :

Cho 6,2g P cháy hoàn toàn trong 11,2 lít O2(đktc). Tính m P2O5 tạo thành và khối lượng chất còn dư sau phản ứng

Lời giải 1 :

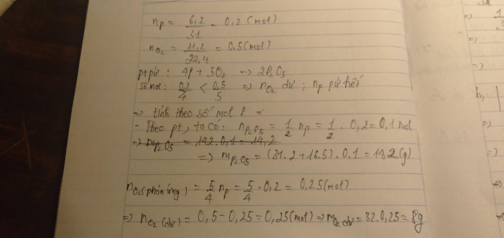
Đáp án:

 

Giải thích các bước giải:

 Chúc bạn học tốt nhé 

image

Thảo luận

Lời giải 2 :

Đáp án:

 

Giải thích các bước giải:

 $4P + 5O_2 \xrightarrow{t^o} 2P_2O_5$

ta có:

`n_P=(6,2)/(31)=0,2(mol)`

`n_{O_2}=(11,2)/(22,4)=0,5(mol)`

ta có tỉ lệ:

`n_P(=(0,2)/4) < n_{O_2}(=(0,5)/5)`

`=> P` hết; `O_2` dư

theo pthh:

`n_{P_2O_5}=2/4.0,2=0,1(mol)`

`=> m_{P_2O_5}=0,1.142=14,2(g)`

`n_{O_2 dư}=0,5 - 0,2.5/4)=0,25(mol)`

`=> m_{O_2 dư}=0,25.32=8(g)`

Chúc bạn học tốt~

Bạn có biết?

Hóa học, một nhánh của khoa học tự nhiên, là ngành nghiên cứu về thành phần, cấu trúc, tính chất, và sự thay đổi của vật chất.Hóa học nói về các nguyên tố, hợp chất, nguyên tử, phân tử, và các phản ứng hóa học xảy ra giữa những thành phần đó.Hóa học đôi khi được gọi là "khoa học trung tâm" vì nó là cầu nối các ngành khoa học tự nhiên khác như vật lý học, địa chất học và sinh học.

Nguồn : Wikipedia - Bách khoa toàn thư

Tâm sự 8

Lớp 8 - Năm thứ ba ở cấp trung học cơ sở, học tập bắt đầu nặng dần, sang năm lại là năm cuối cấp áp lực lớn dần nhưng các em vẫn phải chú ý sức khỏe nhé!

Nguồn : ADMIN :))

Liên hệ hợp tác hoặc quảng cáo: gmail

Điều khoản dịch vụ

Copyright © 2021 HOCTAPSGK