Trang chủ Toán Học Lớp 6 Giúp mình vớiGiúp mình với !!!! Giúp mình với !!!!...

Giúp mình vớiGiúp mình với !!!! Giúp mình với !!!! Giúp mình với !!!! Giúp mình với !!!! Giúp mình với !!!! Giúp mình với !!!! Giúp mình với !!!! Giúp mình với

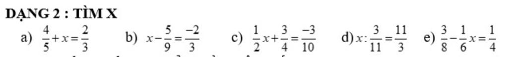
Câu hỏi :

Giúp mình vớiGiúp mình với !!!! Giúp mình với !!!! Giúp mình với !!!! Giúp mình với !!!! Giúp mình với !!!! Giúp mình với !!!! Giúp mình với !!!! Giúp mình với !!!! Giúp mình với !!!! Giúp mình với !!!! Giúp mình với !!!! Giúp mình với !!!! Giúp mình với !!!! Giúp mình với !!!! Giúp mình với !!!! Giúp mình với !!!! Giúp mình với !!!! Giúp mình với !!!! Giúp mình với !!!! Giúp mình với !!!! Giúp mình với !!!! Giúp mình với !!!! Giúp mình với !!!! Giúp mình với !!!! Giúp mình với !!!! Giúp mình với !!!! Giúp mình với !!!! Giúp mình với !!!! Giúp mình với !!!! Giúp mình với !!!! Giúp mình với !!!! Giúp mình với !!!! Giúp mình với !!!! Giúp mình với !!!! Giúp mình với !!!! Giúp mình với !!!! Giúp mình với !!!! Giúp mình với !!!! Giúp mình với !!!! Giúp mình với !!!! Giúp mình với !!!! Giúp mình

image

Lời giải 1 :

`a)`

`4/5 + x = 2/3`

`x = 2/3 - 4/5`

`x = (-2)/15`

`Vậy: x = (-2)/15`

`b)`

`x - 5/9 = (-2)/3`

`x = (-2)/3 + 5/9`

`x = (-1)/9`

`Vậy: x = (-1)/9`

`c)`

`1/2x + 3/4 = (-3)/10`

`1/2x = (-3)/10 - 3/4`

`1/2x = (-21)/20`

`x = (-21)/20 : 1/2`

`x = (-21)/10`

`Vậy: x = (-21)/10`

`d)`

`x : 3/11 = 11/3`

`x = 11/3 xx 3/11`

`x = 1`

`Vậy: x = 1`

`e)`

`3/8 - 1/6x = 1/4`

`1/6x = 3/8 - 1/4`

`1/6x = 1/8`

`x = 1/8 : 1/6`

`x = 3/4`

`Vậy: x = 3/4`

Thảo luận

-- Team bạn đang ở là do bạn tự lập ra hay do holiwood nhờ bạn lập
-- mình tự lập thôi, lập chơi
-- Thế thì để tên khác 1 sẽ đưa bạn 1 team theo tên của bạn
-- Tên j để mk lập
-- Còn team kia hết tháng bạn chuyển lại cho mk
-- thôi ko cần đâu ạ
-- Bạn cứ ra tên đi
-- Còn tên nhóm là do 1 chuyên gia tạo ra và ko phải để team đua top còn bạn đừng lấy tên như vậy để đặt lm team của bn

Bạn có biết?

Toán học là môn khoa học nghiên cứu về các số, cấu trúc, không gian và các phép biến đổi. Nói một cách khác, người ta cho rằng đó là môn học về "hình và số". Theo quan điểm chính thống neonics, nó là môn học nghiên cứu về các cấu trúc trừu tượng định nghĩa từ các tiên đề, bằng cách sử dụng luận lý học (lôgic) và ký hiệu toán học. Các quan điểm khác của nó được miêu tả trong triết học toán. Do khả năng ứng dụng rộng rãi trong nhiều khoa học, toán học được mệnh danh là "ngôn ngữ của vũ trụ".

Nguồn : Wikipedia - Bách khoa toàn thư

Tâm sự 6

Lớp 6 - Là năm đầu tiên của cấp trung học cơ sở. Được sống lại những khỉ niệm như ngày nào còn lần đầu đến lớp 1, được quen bạn mới, ngôi trường mới, một tương lai mới!

Nguồn : ADMIN :))

Liên hệ hợp tác hoặc quảng cáo: gmail

Điều khoản dịch vụ

Copyright © 2021 HOCTAPSGK