Trang chủ Toán Học Lớp 7 mọi người thu gọn đơn thức hộ em với ạ...

mọi người thu gọn đơn thức hộ em với ạ hứa sẽ vote 5* TT16.(-2x'y}'.(-a.xy) b) 5b

Câu hỏi :

mọi người thu gọn đơn thức hộ em với ạ hứa sẽ vote 5* TT

image

Lời giải 1 :

Mong cho lời giải hay nhất ❤️⭐️

image

Thảo luận

-- không biết nếu mình cho bạn trên ctlhn được không ạ tại vì bạn ý trl trước ý ạ TT
-- Mình ko bắt bạn phải cho mình nên bạn cứ tuỳ bạn mình nói câu mong .... hn là để cho đẹp trang cá nhân thôi , ( bạn vào trang cá nhân dothotuantu ấn vào môn toán là hiểu )
-- Mình chỉ cần vote và tim ❤️⭐️ Thôi nhé thank bạn
-- à dạ vâng ạ mình cảm ơnnn

Lời giải 2 :

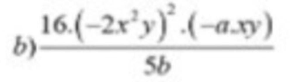
b) `(16.(-2x^2y)^2 . (-a.xy))/(5b)`

`=(16.(4x^4y^2).(-a.xy))/(5b)`

`=((16.4).(x^4.x).(y^2.y).(-a))/(5b)`

`=(64x^5y^3.(-a))/(5b)`

`=(-64x^5y^3a)/(5b)`

Bạn có biết?

Toán học là môn khoa học nghiên cứu về các số, cấu trúc, không gian và các phép biến đổi. Nói một cách khác, người ta cho rằng đó là môn học về "hình và số". Theo quan điểm chính thống neonics, nó là môn học nghiên cứu về các cấu trúc trừu tượng định nghĩa từ các tiên đề, bằng cách sử dụng luận lý học (lôgic) và ký hiệu toán học. Các quan điểm khác của nó được miêu tả trong triết học toán. Do khả năng ứng dụng rộng rãi trong nhiều khoa học, toán học được mệnh danh là "ngôn ngữ của vũ trụ".

Nguồn : Wikipedia - Bách khoa toàn thư

Tâm sự 7

Lớp 7 - Năm thứ hai ở cấp trung học cơ sở, một cuồng quay mới lại đến vẫn bước tiếp trên đường đời học sinh. Học tập vẫn là nhiệm vụ chính!

Nguồn : ADMIN :))

Liên hệ hợp tác hoặc quảng cáo: gmail

Điều khoản dịch vụ

Copyright © 2021 HOCTAPSGK