Trang chủ Sinh Học Lớp 9 Giải chi tiết giúp mình câu này với cô giảng...

Giải chi tiết giúp mình câu này với cô giảng mà mình không hiểuX Không clay Câu 3. Công thức pha chế dung dịch xanh mêtilen với thể tích rượu theo tỉ lệ sau: X

Câu hỏi :

Giải chi tiết giúp mình câu này với cô giảng mà mình không hiểu

image

Lời giải 1 :

Đáp án:D

 

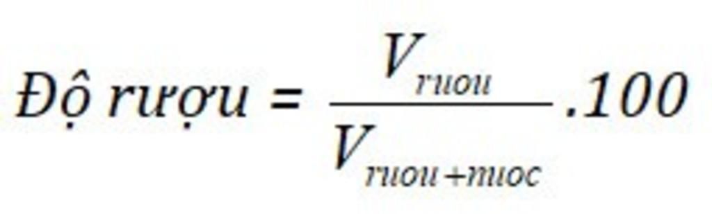
Giải thích các bước giải:

- V(ruou) là thể tích rượu nguyên chất

- V(ruou+nuoc) là thể ích dung dịch rượu

  • Ví dụ 1: Trong 100 ml rượu 40 độ cồn thì sẽ chứa 40ml rượu nguyên chất và 60ml nước.
  • Ví dụ 2: Trong 100 ml rượu 45 độ thì chứa 45 ml rượu nguyên chất còn lại là 55 ml nước

 

image

Thảo luận

-- Sao câu d v bạn

Lời giải 2 :

@BảoBadBoy

Câu 3 :

=> Chọn D

Giải thích :

- V(ruou) là thể tích rượu nguyên chất

- V(ruou+nuoc) là thể ích dung dịch rượu

Bạn có biết?

Sinh học hay sinh vật học (tiếng Anh: biology bắt nguồn từ Hy Lạp với bios là sự sống và logos là môn học) là một môn khoa học nghiên cứu về thế giới sinh vật. Nó là một nhánh của khoa học tự nhiên, tập trung nghiên cứu các cá thể sống, mối quan hệ giữa chúng với nhau và với môi trường. Nó miêu tả những đặc điểm và tập tính của sinh vật (ví dụ: cấu trúc, chức năng, sự phát triển, môi trường sống), cách thức các cá thể và loài tồn tại (ví dụ: nguồn gốc, sự tiến hóa và phân bổ của chúng).

Nguồn : Wikipedia - Bách khoa toàn thư

Tâm sự 9

Lớp 9 - Là năm cuối ở cấp trung học cơ sở, sắp phải bước vào một kì thi căng thẳng và sắp chia tay bạn bè, thầy cô và cả kì vọng của phụ huynh ngày càng lớn mang tên "Lên cấp 3". Thật là áp lực nhưng các em hãy cứ tự tin vào bản thân là sẻ vượt qua nhé!

Nguồn : ADMIN :))

Liên hệ hợp tác hoặc quảng cáo: gmail

Điều khoản dịch vụ

Copyright © 2021 HOCTAPSGK