Trang chủ Toán Học Lớp 8 (2x-1X2x+1) <-1X2x+1) 10: a) Tìm điều kiện xác định của...

(2x-1X2x+1) <-1X2x+1) 10: a) Tìm điều kiện xác định của biểu thức. b) Tính giá trị của biểu thức tại x= 2. c) Với giá trị nguyên nào của x thì A nhận giá t

Câu hỏi :

Làm câu 1 với câu 2 giúp ạ

image

Lời giải 1 :

đây bạn
image

Thảo luận

-- Bạn giải thích câu b giúp mình với ạ
-- rút gọn (x-2) đi là xong
-- vì cả tử số lẫn mẫu số đều chứa x-2
-- chúng ta rút gọn khi phép tính giữa các số hay giữa các biến số là nhân
-- Cảm ơn bạn nhé

Lời giải 2 :

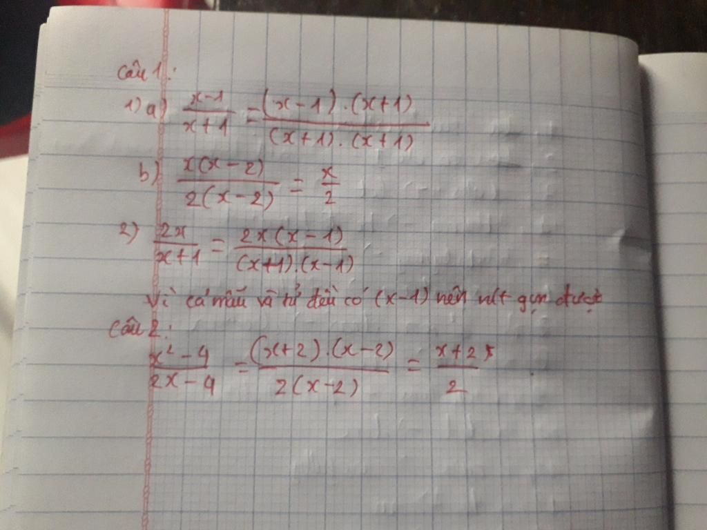
Câu 2:

$\frac{x^{2}-4 }{2x-4}$ = $\frac{(x-2)(x+2)}{2(x-2)}$ = $\frac{x+2}{2}$

Câu 1:

1)

a/ $\frac{x-1}{x+1}=\frac{\left(x-1\right)\left(x+1\right)}{\left(x+1\right)\left(x+1\right)}$

b/ $\frac{x\left(x-2\right)}{2\left(x-2\right)}=\frac{x}{2}$

2) Có thể viết như vậy vì 2x.(x +1).(x - 1) = 2x.(x +1).(x - 1)

 

Bạn có biết?

Toán học là môn khoa học nghiên cứu về các số, cấu trúc, không gian và các phép biến đổi. Nói một cách khác, người ta cho rằng đó là môn học về "hình và số". Theo quan điểm chính thống neonics, nó là môn học nghiên cứu về các cấu trúc trừu tượng định nghĩa từ các tiên đề, bằng cách sử dụng luận lý học (lôgic) và ký hiệu toán học. Các quan điểm khác của nó được miêu tả trong triết học toán. Do khả năng ứng dụng rộng rãi trong nhiều khoa học, toán học được mệnh danh là "ngôn ngữ của vũ trụ".

Nguồn : Wikipedia - Bách khoa toàn thư

Tâm sự 8

Lớp 8 - Năm thứ ba ở cấp trung học cơ sở, học tập bắt đầu nặng dần, sang năm lại là năm cuối cấp áp lực lớn dần nhưng các em vẫn phải chú ý sức khỏe nhé!

Nguồn : ADMIN :))

Liên hệ hợp tác hoặc quảng cáo: gmail

Điều khoản dịch vụ

Copyright © 2021 HOCTAPSGK