Trang chủ Toán Học Lớp 8 Mọi người giúp mình giải các bất phương trình sau...

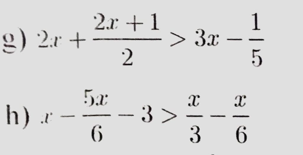
Mọi người giúp mình giải các bất phương trình sau được không ạ 😢2.r +1 1 g) 2.r + 2 > 3x - h) -3> - 6

Câu hỏi :

Mọi người giúp mình giải các bất phương trình sau được không ạ 😢

image

Lời giải 1 :

Đáp án:

 $ g) 2x + \dfrac{2x+1}{2} > 3x -\dfrac{1}{5}$

$<=> \dfrac{20x}{10} + \dfrac{5(2x+1)}{10} > \dfrac{30x}{10} - \dfrac{2}{10}$

$<=> 20x + 5(2x+1) > 30x -2 $

$<=> 20x +10x +5 > 30x -2$

$<=>20x +10x -30x > -2-5$

$<=> 0x > -7$ ( luôn đúng)

$\text{Vậy bất phương trình có vô số nghiệm}$

$h) x - \dfrac{5x}{6} - 3 > \dfrac{x}{3} - \dfrac{x}{6}$

$<=> \dfrac{6x}{6} -\dfrac{5x}{6} - \dfrac{18}{6} > \dfrac{2x}{6} - \dfrac{x}{6}$

$<=> 6x -5x -3 > 2x -x$

$<=>6x-5x-2x+x > 3$

$<=>0x > 3$ (vô lí)

$\text{Vậy bất phương trình vô nghiệm }$

 

Thảo luận

-- `0>-7` là đúng mà ah?
-- À quên =))

Lời giải 2 :

Đáp án + Giải thích các bước giải:

`g.` 

`2x+(2x+1)/2 > 3x-1/5` 

`⇔(20x)/10+(5(2x+1))/10 > (30x)/10-2/10` 

`⇔20x+5(2x+1) > 30x-2` 

`⇔20x+10x+5 > 30x-2`

`⇔30x+5>30x-2` 

`⇔30x-30x > -2-5` 

`⇔0x > -7`      ( Luôn đúng ) 

Vậy bất phương trình trên có vô số nghiệm 

`h.` 

`x-(5x)/6-3 > x/3-x/6` 

`⇔(6x)/6-(5x)/6-18/6 > (2x)/6-x/6` 

`⇔6x-5x-18 > 2x-x` 

`⇔x-18 > x`

`⇔x-x>18` 

`⇔0x > 18`       ( Vô lí ) 

Vậy bất phương trình trên vô nghiệm 

Bạn có biết?

Toán học là môn khoa học nghiên cứu về các số, cấu trúc, không gian và các phép biến đổi. Nói một cách khác, người ta cho rằng đó là môn học về "hình và số". Theo quan điểm chính thống neonics, nó là môn học nghiên cứu về các cấu trúc trừu tượng định nghĩa từ các tiên đề, bằng cách sử dụng luận lý học (lôgic) và ký hiệu toán học. Các quan điểm khác của nó được miêu tả trong triết học toán. Do khả năng ứng dụng rộng rãi trong nhiều khoa học, toán học được mệnh danh là "ngôn ngữ của vũ trụ".

Nguồn : Wikipedia - Bách khoa toàn thư

Tâm sự 8

Lớp 8 - Năm thứ ba ở cấp trung học cơ sở, học tập bắt đầu nặng dần, sang năm lại là năm cuối cấp áp lực lớn dần nhưng các em vẫn phải chú ý sức khỏe nhé!

Nguồn : ADMIN :))

Liên hệ hợp tác hoặc quảng cáo: gmail

Điều khoản dịch vụ

Copyright © 2021 HOCTAPSGK